Пусть суммарное напряжение источников смещения и входного гармонического сигнала
................... (7)
приложено к нелинейному элементу, ВАХ которого в окрестности рабочей точки аппроксимирована полиномом Тейлора вида:
2
3
....... (8)
Подставив формулу (7) в выражение (8), получим:
.....
Используя известные формулы разложения степеней косинусов, получим:
;
;
и т.д.
Выполнив подстановки и упростив выражения, запишем общее выражение для тока нелинейной цепи в компактной форме:
....... (9)
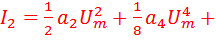
Здесь постоянная составляющая и амплитуды гармоник тока:
.....;
.....;......... (10)
.....;
......
Анализ состава формул (10) показывает, что при степенн
й аппроксимации характеристики гармонический состав тока в цепи с НЭ существенно зависит от степени полинома. При этом постоянная составляющая и амплитуды чётных гармоник определяются чётными, а амплитуды нечётных гармоник – нечётными коэффициентами степенн
го полинома.






