![]() |
1. Момент импульса Земли - вращающейся вокруг своей оси, остается неизменным и по величине, и по направлению, т.к. момент силы тяготения, действующий на Землю со стороны Солнца равен 0.
Одновременно с этим вследствие закона сохранения момента импульса орбита Земли является плоской кривой – эллипсом, т.к. сохраняется момент импульса Земли, связанный с ее движением вокруг Солнца.
2. Пусть, при условии
, некоторое тело с моментом инерции I1 вращается с угловой скоростью
. Если в результате действия внутренних сил момент инерции тела изменится и станет равным I2, то его угловая скорость также изменится и станет равной
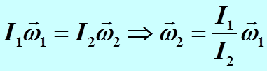
. Величину этой угловой скорости
можно определить, используя закон сохранения момента импульса. При любых взаимодействиях между телами системы
. Поэтому

Из приведенной формулы следует, что угловая скорость тела возрастет, если его момент инерции уменьшится, и станет меньше, когда возрастет момент инерции тела. Примеры, подтверждающие эти выводы, можно найти повсюду: при уменьшении момента инерции тела фигуриста или балерины их скорость вращения увеличивается, увеличивается скорость вращения гимнаста или акробата при группировке и т.п. Множество опытов, подтверждающих справедливость закона сохранения момента импульса, можно продемонстрировать на скамье Н.Е. Жуковского.
3. Пусть момент импульса изолированной системы из двух тел равен 0. Если в результате действия внутренних сил одно из тел с моментом инерции I1, начнет вращаться с угловой скоростью
, то другое тело системы с моментом инерции I2 придет во вращательное движение в противоположном направлении. Угловая скорость вращения второго тела определится из закона сохранения момента импульса.

Как видим, второе тело будет вращаться в противоположную сторону. Об этом свидетельствует знак «минус» в полученном соотношении. Величина угловой скорости
будет тем больше, чем меньше момент инерции второго тела в сравнении с первым. Например, если статор электродвигателя не закрепить на фундаменте, то при включении электродвигателя он начнет вращаться в противоположном ротору направлении.
