+

-

-

-

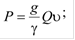
Давление струи жидкости на ограждающую площадку определяется по формуле
-

-

+

-

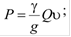
В каком случае давление струи на площадку будет максимальным
-

+

-

-

На сколько последовательных частей разбивается свободная незатопленная струя?
-
не разбивается;
-
на две;
+
на три;
-
на четыре.
Укажите верную последовательность составных частей свободной незатопленной струи
+
компактная, раздробленная, распыленная;
-
раздробленная, компактная, распыленная;
-
компактная, распыленная, раздробленная;
-
распыленная, компактная, раздробленная.






