-
увеличивается;
+
уменьшается;
-
сначала уменьшается, а затем увеличивается;
-
остается постоянным.
В каком случае скорость истечения из-под затвора будет больше?
+
при истечении через незатопленное отверстие;
-
при истечении через затопленное отверстие;
-
скорость будет одинаковой;
-
там, где истекающая струя сжата меньше.
Коэффициент сжатия струи обозначается греческой буквой
+
ε
-
φ
-
μ
-
ν
Коэффициент расхода обозначается греческой буквой
-
ε
-
φ
+
μ
-
ν
Коэффициент скорости обозначается буквой
-
ε
+
φ
-
μ
-
ν
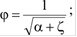
Коэффициент скорости определяется по формуле
+

-

-

-

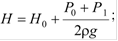
Напор жидкости H, используемый при нахождении скорости истечения жидкости в воздушное пространство определяется по формуле
-

-

-

+







