Данные к расчету
Разработка электромеханической системы привода манипулятора промышленного робота со следующими техническими характеристиками:
1. Ход объекта манипулирования: h = 0.3, м;
2. Степень подвижности – поступательная, по оси Х;
3. Точность позиционирования: ±Δ = 0.01, мм;
4. Масса объекта манипулирования: m = 15, кг;
5. Масса степени подвижности: М = 13, кг:
6. Технологическое усилие: Fтехн = 6, Н;
7. Максимальное ускорение: W = 2.5, м/с2 (рад/с2);
8. Максимальная скорость: V = 0.7, м/с (рад/с);
9. Время переходного процесса: tпер = 0.02, с;
10. Режим работы: ПК.
Система электропривода: тиристорный электропривод постоянного тока с управлением от микро ЭВМ.
Расчет силовых элементов энергетического канала
Расчет сил трения и силового заклинивания в направляющих поступательного движения исполнительного механизма
При расчете привода следует учитывать силы сопротивления движению исполнительного механизма. Величина сил трения зависит от величин нормальных реакций в опорах, определяемых весом подвижных частей, схемой приложения внешних сил и конструкцией направляющих.
Значение силы трения определяется по формуле:

Где
- сила трения в i-ой опоре, n – число опор,
- сумма модулей нормальных реакций в опорах,
- коэффициент трения скольжения или качения.
| h |
| Q2 |
| F |
| Q1 |
| Rb |
| G |
| а |
| Ra |
| a) |
| Ra |
| Q2 |
| F |
| q |
| Rb |
| а |
| h |
| б) |
| Рисунок 1. а) Конструкция направляющих в механизме радиально перемещения робота, б) расчетная схема |
| Q1 |
На рисунке 1 приведена конструкция направляющих узлов, обеспечивающих перемещение подвижного органа в требуемом направлении. В случае несоответствия размеров конструкции системе действующих на исполнительный орган сил, возможно ситуация, когда внешняя движущая сила Р не в состоянии привести исполнительный орган в движение, т. е. возникает силовое заклинивание.
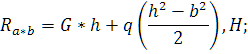
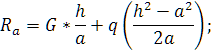
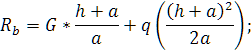
Уравнение равновесия исполнительного органа для рисунка 1можно записать в виде:


Где G – вес исполнительного органа с объектом манипулирования, т. е. вес схвата плюс вес заготовки, q – распределенная нагрузка, созданная весом G1 направляющей, Ra и Rb – реакции в соответствующих опорах А и В.
Из уравнений (1.2) и (1.3) можно определить реакции в опорах:


Где a = (0.1 – 0.3)h; a = 0.2*h = 0.2*0.3 = 0.06, м;
q = G1/(a+h) = M*g/(a+h) = 13 кг*9,8/(0.3 м + 0.06 м) = 353.88, Н;
G = (M + m)g = (13 + 15)*9.8 = 274.4, Н;
Тогда 

Условие отсутствия заклинивания для приводов можно записать в виде:

Где 
Следовательно, 
Принимаем F = 560 H.
Если принять
то условие отсутствия заклинивания можно записать следующим образом:

Где

Тогда выражение (1.6) запишется в виде:

Следовательно, условие отсутствия заклинивания выполняется.






