В схемах статических преобразовательных устройств силового типа широко применяются тиристоры, являющиеся нелинейными электрическими ключами, работающими в функции тока управления. Они устойчиво работают в диапазоне температур окружающей среды от -50
до +125
, при относительной влажности воздуха до 98% и на высоте над уровнем моря до 1200 м. Также в ряду их достоинств можно отметить высокое быстродействие и КПД преобразования энергии.
Подбор тиристоров осуществляется по максимальной величине обратного напряжения, среднему значению тока через тиристор и т. д.
Определение максимального обратного напряжения:

где
– коэффициент, определяемый эффективностью защиты при коммутационных режимах;
s w:ascii="Cambria Math" w:h-ansi="Cambria Math"/><wx:font wx:val="Cambria Math"/><w:i/><w:sz w:val="28"/><w:sz-cs w:val="28"/></w:rPr><m:t>=2ПЂ/3</m:t></m:r></m:oMath></m:oMathPara></w:p><w:sectPr wsp:rsidR="00000000"><w:pgSz w:w="12240" w:h="15840"/><w:pgMar w:top="1134" w:right="850" w:bottom="1134" w:left="1701" w:header="720" w:footer="720" w:gutter="0"/><w:cols w:space="720"/></w:sectPr></wx:sect></w:body></w:wordDocument>">
- коэффициент использования тиристора по напряжению;
|
|
|


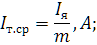
Расчет среднего значения тока, протекающего через тиристор при номинальном моменте электродвигателя:

где m = 6 – число фаз выпрямленного напряжения.

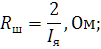
Определение значения тока на тиристоре при возникновении короткого замыкания на стороне постоянного тока:


По рассчитанным значениям выбираем тиристор Т112-10-6 со следующими техническими характеристиками:
- Напряжение 600 В;
- Ток 10 А;
- Время срабатывания 10 мкс;
- Напряжение управления 7,5 В;
- Тип охладителя 011-60.
2.4 Определение эквивалентных параметров цепи якоря двигателя постоянного тока
Нахождение сопротивления обмотки якоря с учетом нагрева:

где
– сопротивление обмотки якоря двигателя при температуре 15
.

Определение сопротивления, обусловленного коммутационными процессами в тиристорном преобразователе:


Определение сопротивление щеточного контакта двигателя:


Определение эквивалентного сопротивления цепи якоря:


Определение индуктивности обмотки якоря:

где
= 0,4 – с компенсационной обмоткой р = 1;

Эквивалентная индуктивность цепи якоря:


Определение электромагнитной постоянной:


Определение электромеханической постоянной:

где
– приведенный момент инерции;
– момент инерции якоря двигателя;
=
– конструктивная постоянная двигателя;







