№ 35
В Таблице 1 приведен общий список услуг, которые могут быть оказаны фирмой в процессе поставки товаров, а также время, необходимое для оказания каждой отдельной услуги (чел./часов). Перечень услуг, фактически оказываемых фирмой, приведен ниже. Определить уровень сервиса.
Таблица 1
Общий список услуг, которые могут быть оказаны фирмой в процессе поставки товара

Перечень услуг, фактически оказываемых фирмой: 2, 6, 9, 14, 18, 23, 28.
Решение:
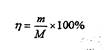
Важным критерием, позволяющим оценить систему сервиса, как с позиции поставщика, так и с позиции получателя услуг, является уровень логистического обслуживания.
Расчет данного показателя выполняют по следующей формуле:
,
где ή -уровень логистического обслуживания в процентах,
М - количественная оценка теоретически возможного объема логистического сервиса,
m - количественная оценка фактически оказываемого объема логистического сервиса.
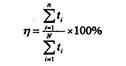
На практике уровень обслуживания можно оценивать, сопоставляя время на выполнение фактически оказываемых в процессе поставки логистических услуг со временем, которое необходимо было бы затратить, в случае оказания всего комплекса возможных услуг в процессе той же поставки. Расчет выполняют по следующей формуле:
|
|
|
,
здесь N - количество услуг, которое теоретически может быть оказано,
n - фактическое количество оказываемых услуг,
ti - время на выполнение i -той услуги.
Следовательно, в нашей задаче:
ή = 16,95%.
Ответ: Уровень сервиса равен 16,95%.






