№ 45
На территории района имеется 8 магазинов, торгующих продовольственными товарами. Необходимо определить место расположения распределительного склада.
В таблице 2 приведены координаты магазинов (в прямоугольной системе координат), в таблице 3 - грузооборот. Необходимо найти координаты (Хсклад, Усклад) точки на местности для размещения распределительного склада.
Прежде чем приступить к расчетам, необходимо выполнить чертеж к заданию.
Найдите координаты точки, в окрестностях которой рекомендуется организовать работу распределительною склада, и укажите эту точку на чертеже.
Таблица 2
Координаты магазинов (потребителей материально потока)

Таблица 3
Грузооборот магазинов

Решение:
Задачу выбора места расположения склада решим для распределительной системы, включающей один склад. Основным (но не единственным) фактором влияющим на выбор места расположения склада, является размер затрат на доставку товаров со склада. Минимизировать эти затраты можно, разместив склад в окрестностях центра тяжести грузопотоков. Метод аналогичен определению центра тяжести физического тела.
|
|
|
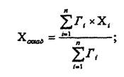
Координаты центра тяжести грузовых потоков (Хсклад, Yсклад), т.е. - точки, в которой может быть размещен распределительный склад, определятся по формулам:


Где Гi - грузооборот i-гo потребителя;
Xi, Yj - координаты i-гo потребителя.
Точка территории, обеспечивающая минимум транспортной работы по доставке, в общем случае не совпадает с найденным центром тяжести, но, как правило, находится где-то недалеко. Подобрать приемлемое место для склада позволит последующий анализ возможных мест размещения в окрестностях найденного центра тяжести. При этом необходимо оценить транспортную доступность местности, размер и конфигурацию возможного участка, а также планы местных властей в отношении намеченной территории.
Выполним чертеж к заданию (Рисунок 2).

Рисунок 2. Определение месторасположения склада методом поиска центра тяжести грузовых потоков
Найдем координаты центра тяжести грузовых потоков.
Xсклад = 66 км.
Yсклад = 27 км
Нанесем точку с такими координатами на чертеж.






