Тема 1: Спецификация эконометрической модели
1. Ошибки спецификации эконометрической модели имеют место вследствие …
Неправильного выбора математической функции или недоучета в уравнении регрессии какого-то существенного фактора
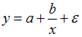
2. Для регрессионной модели вида
необходим минимальный объем наблюдений, содержащий _____ объектов наблюдения.
15
3. Нелинейным по объясняющим переменным, но линейным по параметрам уравнением регрессии является …

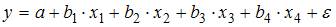
4. В модели вида
количество объясняющих переменных равно …
3
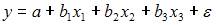
5. При идентификации модели множественной регрессии
количество оцениваемых параметров равно …
5
Тема 2: Отбор факторов, включаемых в модель множественной регрессии
1. В модели множественной регрессии
определитель матрицы парных коэффициентов корреляции между факторами
,
и
близок к единице. Это означает, что факторы
,
и
…
Мультиколлинеарны
2. При моделировании линейного уравнения множественной регрессии вида
необходимо, чтобы выполнялось требование отсутствия взаимосвязи между …
x1 и x2






