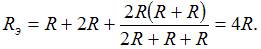
Эквивалентное сопротивление
цепи, показанной на рисунке, равно …
Решение:
Эквивалентное сопротивление 
|
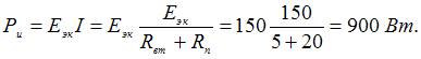
Тема: Мощность цепи постоянного тока. Баланс мощностей
При
(см. рис.) вырабатываемая источником мощность
равна ___ Вт.
Решение:
Мощность источника 
|
| 4,5 |
| 3,5 |
Тема: Расчет нелинейных цепей постоянного тока
Два одинаковых нелинейных элемента с заданной (см. рис.) вольт-амперной характеристикой соединены параллельно. Если напряжение на входе цепи
то ток
в неразветвленной части цепи равен ____ мА.
Решение:
По вольт-амперной характеристике каждого из элементов при
находим токи
Ток в неразветвленной части цепи 
|
| 3; 3 |
| 4; 3 |
| 3; 2 |
| 4; 2 |






