Для приведенной схемы по первому закону Кирхгофа верно составлено уравнение …
Решение:
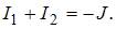
По первому закону Кирхгофа для узла b
или 
|
| 4,5 |
| 3,5 |
| 2,25 |
Тема: Расчет нелинейных цепей постоянного тока
Два одинаковых нелинейных элемента с заданной (см. рис.) вольт-амперной характеристикой соединены последовательно. Если напряжение на входе цепи
то ток
в цепи равен ____ мА.
Решение:
Так как нелинейные элементы одинаковы, на каждый из них будет приходиться половина входного напряжения, то есть
По вольт-амперной характеристике при
находим ток 
|
|
|
|
|






