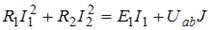
Уравнение баланса мощностей имеет вид …
Решение:
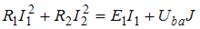
Уравнение баланса мощностей имеет вид 
|
|
|
|
Тема: Анализ цепей постоянного тока с одним источником энергии
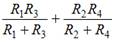
Эквивалентное сопротивление цепи, показанной на рисунке, относительно точек с и d равно …
Решение:
Резистивные элементы
и
и
соединены параллельно. Эквивалентное сопротивление 
|
|
|
|
|






