Если
(см. рис.), то источники ЭДС работают …
| все в режиме генератора |
и − в режиме активного приемника, − в режиме генератора
|
и − в режиме генератора, − в режиме активного приемника
|
− в режиме активного приемника, и − в режиме генератора
|
Решение:
Ток
имеет отрицательное значение. Это означает, что его истинное направление противоположно указанному на схеме и противоположно направлению ЭДС
. Источник
работает в режиме активного приемника, а источники
и
− в режиме генератора.
|
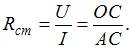
Тема: Расчет нелинейных цепей постоянного тока
В точке А вольт-амперной характеристики нелинейного элемента (см. рис.) статическое сопротивление
равно …
|
Решение:
Статическое сопротивление в точке А равно отношению напряжения к току в этой точке: 
|
|
|
|
|
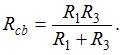
Тема: Анализ цепей постоянного тока с одним источником энергии
Эквивалентное сопротивление цепи, показанной на рисунке, относительно точек с и b равно …
Решение:
Так как точки а и b соединены между собой накоротко, то эквивалентное сопротивление относительно точек с и b 
|
|
|
| 16,6 |
| 6,2 |
Тема: Расчет нелинейных цепей постоянного тока
Вольт-амперная характеристика нелинейного элемента выражается уравнением
При напряжении
динамическое сопротивление
нелинейного элемента равно ____ Ом.
Решение:
Динамическое (дифференциальное) сопротивление

|






