Для изображенной схемы уравнение баланса мощностей имеет вид …
Решение:
Для изображенной схемы уравнение баланса мощностей имеет вид 
|
|
|
|
|
Тема: Закон Ома и его применение для расчета электрических цепей
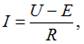
Напряжение U на зажимах активного приемника равно …
Решение:
По закону Ома ток
где напряжение взято со знаком «+», так как его положительное направление совпадает с положительным направлением тока, а ЭДС взята со знаком «-», так как направлена против тока. Напряжение 
|
Тема: Основные определения и топологические параметры электрических цепей
Количество независимых контуров в представленной схеме равно …
|
Решение:
Контуром называют замкнутый путь, проходящий по ветвям и узлам цепи. Независимым является контур, в который входит хотя бы одна новая ветвь. В приведенной схеме три независимых контура: I, II, III.
|
|
|
|
|






