При заданном положительном направлении ЭДС Е положительные направления тока I и напряжения U источника указаны стрелками _________ соответственно.
Решение:
Положительное направление тока совпадает с положительным направлением ЭДС и обозначено на приведенной схеме стрелкой 1, а положительное направление напряжения противоположно направлению ЭДС и обозначено стрелкой 4.
|
|
|
|
|
Тема: Анализ цепей постоянного тока с одним источником энергии
Схемы рис. 1 и рис. 2 эквивалентны при
равном …
Решение:
При замене трех одинаковых ветвей, соединенных треугольником (рис. 1), тремя ветвями, соединенными звездой (рис. 2), сопротивления новых ветвей будут в три раза меньше, то есть 
|
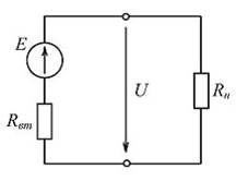
Тема: Мощность цепи постоянного тока. Баланс мощностей
Если
а
(см. рис.), то во внутреннем сопротивлении источника преобразуется в теплоту ____ % его энергии.
Решение:
КПД источника определяется отношением мощностей приемника и источника ЭДС:
Это означает, что
энергии источника преобразуется в теплоту в сопротивлении 
|
|
|
|
|






