Для характеристики несинусоидальных периодических переменных служат следующие величины и коэффициенты (приведены на примере периодического тока):
- Максимальное значение -
. - Действующее значение -
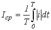
. - Среднее по модулю значение -
. - Среднее за период значение (постоянная составляющая) -
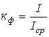
. - Коэффициент амплитуды (отношение максимального значения к действующему) -
. - Коэффициент формы (отношение действующего значения к среднему по модулю) -
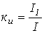
. - Коэффициент искажений (отношение действующего значения первой гармоники к действующему значению переменной) -
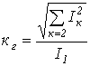
. - Коэффициент гармоник (отношение действующего значения высших гармонических к действующему значению первой гармоники) -
.






