При анализе электрических цепей в задачах исследования взаимосвязи между переменными (токами, напряжениями, мощностями и т.п.) двух каких-то ветвей схемы широко используется теория четырехполюсников. Четырехполюсник – это часть схемы произвольной конфигурации, имеющая две пары зажимов (отсюда и произошло его название), обычно называемые входными и выходными.
Примерами четырыхполюсника являются трансформатор, усилитель, потенциометр, линия электропередачи и другие электротехнические устройства, у которых можно выделить две пары полюсов.
В общем случае четырехполюсники можно разделить на активные, в структуру которых входят источники энергии, и пассивные, ветви которых не содержат источников энергии.
Ниже будут рассмотрены элементы теории пассивных четырехполюсников.
Для записи уравнений четырехполюсника выделим в произвольной схеме ветвь с единственным источником энергии и любую другую ветвь с некоторым сопротивлением
(см. рис. 1,а).

В соответствии с принципом компенсации заменим исходное сопротивление
источником с напряжением
(см. рис. 1,б). Тогда на основании метода наложения для цепи на рис. 1,б можно записать
; | (1) |
. | (2) |
Решая полученные уравнения (1) и (2) относительно напряжения и тока на первичных зажимах, получим
;

или
; | (3) |
, | (4) |
где
;
;
;
- коэффициенты четырехполюсника.
Учитывая, что в соответствии с принципом взаимности
, видно, что коэффициенты четырехполюсника связаны между собой соотношением
. | (5) |
Уравнения (3) и (4) представляют собой основные уравнения четырехполюсника; их также называют уравнениями четырехполюсника в А-форме (см. табл. 1). Вообще говоря, существует шесть форм записи уравнений пассивного четырехполюсника. Действительно, четырехполюсник характеризуется двумя напряжениями
и
и двумя токами
и
. Любые две величины можно выразить через остальные. Так как число сочетаний из четырех по два равно шести, то и возможно шесть форм записи уравнений пассивного четырехполюсника, которые приведены в табл. 1. Положительные направления токов для различных форм записи уравнений приведены на рис. 2. Отметим, что выбор той или иной формы уравнений определяется областью и типом решаемой задачи.
Таблица 1. Формы записи уравнений пассивного четырехполюсника
| Форма | Уравнения | Связь с коэффициентами основных уравнений |
| А-форма | ; ; | |
| Y-форма | ; ; | ; ; ; ; |
| Z-форма | ; ; | ; ; ; ; |
| Н-форма | ; ; | ; ; ; ; |
| G-форма | ; ; | ; ; ; ; |
| B-форма | ; . | ; ; ; . |
Если при перемене местами источника и приемника энергии их токи не меняются, то такой четырехполюсник называется симметричным. Как видно из сравнения А- и В- форм в табл. 1, это выполняется при
.
Четырехполюсники, не удовлетворяющие данному условию, называются несимметричными.
При практическом использовании уравнений четырехполюсника для анализа цепей необходимо знать значения его коэффициентов. Коэффициенты четырехполюсника могут быть определены экспериментальным или расчетным путями. При этом в соответствии с соотношением (5) определение любых трех коэффициентов дает возможность определить и четвертый.
Один из наиболее удобных экспериментальных методов определения коэффициентов четырехполюсника основан на опытах холостого хода и короткого замыкания при питании со стороны вторичных зажимов и опыте холостого хода при питании со стороны первичных зажимов. В этом случае при
на основании уравнений (3) и (4)
. | (6) |
При 
| (7) |
и при 
. | (8) |
Решение уравнений (6)-(8) относительно коэффициентов четырехполюсника дает:

При определении коэффициентов четырехполюсника расчетным путем должны быть известны схема соединения и величины сопротивлений четырехполюсника. Как было отмечено ранее, пассивный четырехполюсник характеризуется тремя независимыми постоянными коэффициентами. Следовательно, пассивный четырехполюсник можно представить в виде трехэлементной эквивалентной Т - (рис. 3,а) или П-образной (рис. 3,б) схемы замещения.
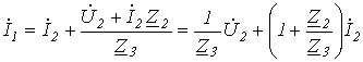
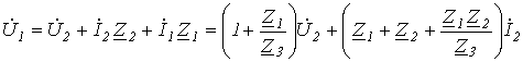
Для определения коэффициентов четырехполюсника для схемы на рис. 3,а с использованием первого и второго законов Кирхгофа выразим
и
через
и
:

; | (9) |
. | (10) |
Сопоставление полученных выражений (9) и (10) с соотношениями (3) и (4) дает:

Данная задача может быть решена и другим путем. При
(холостой ход со стороны вторичных зажимов) в соответствии с (3) и (4)
и
;
но из схемы на рис. 3,а
, а
;
откуда вытекает:
и
.
При
(короткое замыкание на вторичных зажимах)
и
.
Из схемы на рис. 3,а
;
.
Следовательно,
.
Таким образом, получены те же самые результаты, что и в первом случае.
Коэффициенты четырехполюсника для схемы на рис. 3,б могут быть определены аналогично или на основании полученных для цепи на рис. 3,а с использованием рассмотренных ранее формул преобразования “ звезда-треугольник”.
Из вышесказанного можно сделать вывод, что зная коэффициенты четырехполюсника, всегда можно найти параметры Т- и П-образных схем его замещения.
На практике часто возникает потребность в переходе от одной формы записи уравнений четырехполюсника к другой. Для решения этой задачи, т.е. чтобы определить коэффициенты одной формы записи уравнений через коэффициенты другой, следует выразить какие-либо две одинаковые величины в этих формулах через две остальные и сопоставить их с учетом положительных направлений токов для каждой из этих форм. Так при переходе от А- к Z-форме на основании (4) имеем
. | (11) |
Подстановка соотношения (11) в (3) дает
. | (12) |
Сопоставляя выражения (11) и (12) с уравнениями четырехполюсника в Z-форме (см. табл. 1), получим
.
При анализе работы четырехполюсника на нагрузку
удобно использовать понятие входного сопротивления с первичной стороны
и коэффициента передачи
.Учитывая, что
и
, для этих параметров можно записать:

Зная
,
и
, можно определить остальные переменные на входе и выходе четырехполюсника:
;
;
.
;
.
;
,
.
;
;
;
;
;
;
;
;
;
;
;
;
;
;
;
;
;
;
;
;
;
;
;
;
;
;
.
;
;
;
.
.
.
;
.
.
. 





