Точка начала двигаться равноускоренно по прямой из состояния покоя и через 25 сек ее скорость стала равна 50 м/с. С этого момента точка начала равнозамедленное движение по дуге окружности радиуса r = 200 м и через 20 сек ее скорость снизилась до 10 м/с. После этого точка продолжила свое движение с этой скоростью по прямой и через 5 с внезапно остановилась.
Определить: 1) среднюю скорость точки на всем пути;
2) полное ускорение точки через 5 с после начала ее равнозамедленного движения по окружности.
Решение.
1. Представим траекторию движения точки, как показано на рис. 1.6. Весь путь, пройденный точкой, разбиваем на участки равноускоренного (по отрезку АВ), равнозамедленного (по дуге ВС) и равномерного (по отрезку CD) движения.

Рисунок 1.6
2. Рассмотрим движения точки по отрезку АВ:

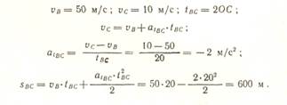
3. Рассмотрим движение точки по дуге ВС:

4. Рассмотрим движение точки на отрезке CD:

5. Определим среднюю скорость точки на всем пути по траектории движения ABCD (см. рис. 1.6):


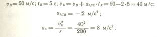
6. Определим значение полного ускорения точки через 5 с после начала равнозамедленного движения (см. положение К на рис. 1.6)
|
|
|

Полное ускорение
