1. Разграничим вращательное движение данного тела на участки равноускоренного, равномерного и равнозамедленного движения. Определим параметры вращательного движения тела по этим участкам.
2. Равноускоренное вращение (участок 1):

3. Равномерное вращение (участок II):

4. Равнозамедленное вращение (участок III):


5. Определим полное число оборотов тела за все время вращения;

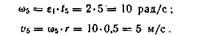
6. Определим среднюю угловую скорость тела за все время вращения:

7. Определим окружную скорость точек тела, расположенных на расстоянии r = 0,5 м от оси вращения через 5 с после начала движения тела:

Пятая задача (задачи №№ 41–50) связана с определением работы и мощности либо при поступательном, либо при вращательном движении.
Задачи следует решать, изучив темы 1.14 и 1.15, а также повторить материал о трении скольжения и качения.
Решая данные задачи, необходимо внимательно следить за тем, чтобы числовые значения величин были выражены в единицах СИ.
Приведем основные формулы, необходимые для вычисления работы и мощности.
|
|
|
Работа постоянной силы F на прямолинейном пути:
W = F∙s∙cos α,
где α – угол между направлением силы и перемещения.
Работа силы тяжести:
W = ± G ∙ H,
где Н – разность уровней движущейся точки.
Работа пары сил: W = M∙φ,
где М – момент пары;
φ – угол поворота пары.
В системе единиц физических величин СИ работа измеряется в джоулях (Дж): 1 Дж = 1 Н∙м; 1 кДж = 103 Дж.
Мощность при поступательном движении определяется по формуле

при
Мощность при вращательном движении Р = М·ω
где М – вращающий момент; (М = Р/ω)
ω – угловая скорость.
В системе единиц физических величин СИ мощность измеряется в ваттах: 1 Вт = 1 Дж/с; 1 кВт = 103 Вт
Механический коэффициент полезного действия:

где W– вся совершенная работа;
Wп.с – работа сил полезных сопротивлений;
Или
η= Рn/P,
где Рn– полезная мощность;
Р – вся затраченная мощность.