at ≠ 0, an = 0. При at = const движение является равнопеременным криволинейным.
Если at >0 - равноускоренное движение, at < 0 – равнозамедленное движение.
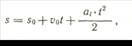
Уравнение равнопеременного движения независимо от траектории имеет вид (1)
где so – начальное расстояние точки в момент начала отсчета;
υo – начальная скорость.
(2)
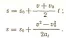
Если неизвестные входят в уравнения (1) и (2), то для удобства решения задачи пользуемся вспомогательными формулами:

(3)
(4)
При so = 0 и υo =0 (равнопеременное движение из состояния покоя) формулы (3) и (4) имеют такой вид:
(5)
(6)
При любом криволинейном движении модуль полного ускорения точки в данный момент времени
(7)
В задачах 32, 34, 36, 38 и 40 рассматривается вращательное движение тела (см. пример 5).
Решая эти задачи, необходимо уметь переходить от числа оборотов к радианному измерению угла поворота и наоборот:
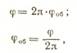
(8)
(9)
где φ – угол поворота тела,
φоб – число оборотов
Переход от угловой скорости к частоте вращения, измеряемой в оборотах в минуту (об/мин):
(10)
(11)
При вращательном движении тела все его точки движутся по окружностям, центры которых расположены на оси вращения тела (см. рис. 4).
(13)
(14)
(15)
(16)
где s – расстояние, пройденное точкой по дуге окружности (
A 1 A 2 = s,) см. рис. 1.5);
φ – угол поворота тела, рад;
r – расстояние точки до оси вращения тела;
ω – угловая скорость;
ε – угловое ускорение;
υ –окружная скорость точки в данный момент времени;
at – касательное ускорение точки;
аn – нормальное ускорение точки.

Рисунок 1.5
При равномерном вращении при φ0 = 0
(16)
(17)
(18)
(19)
(20)
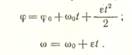
При равнопеременном вращении тела (ε >0 – равноускоренное вращение; ε < 0 – равнозамедленное вращение):
Для удобства решения задач из уравнений (19) и (20) получаем
(21)
(22)
Для случая равнопеременного вращения, начавшегося из состояния покоя (при φо = 0 и ωо = 0), формулы (21) и (22) имеют вид
(23)
(24)