К гидроароматическим соединениям принадлежат также вещества, содержащие иононовое кольцо, являющееся составной частью каротина. Ниже приведены структурные формулы a-ионона и его изомера ирона. Эти вещества обладают запахом фиалок и играют важную роль в парфюмерной промышленности

Одним из наиболее известных природных гидроароматических соединений является хинная кислота, которая найдена во многих растениях: в молодых побегах ели (до 13,5% сухого веса), в табаке, в коре хинного дерева (до 9%), в сливах, яблоках и винограде, в чернике и клюкве, в зернах кофе, плодах айвы, яблок, в ягодах крыжовника, ежевики.

Как показали С.П. Костычев и В.С. Буткевич, хинная кислота с чрезвычайной легкостью может использоваться микроорганизмами для образования фенольных соединений.
Показано, что хинная кислота, меченная радиоактивным углеродом С14, будучи введена в ткани растений активно превращается в фенилаланин. Если же учесть также, то обстоятельство, что содержание хинной кислоты в растениях сильно колеблется в зависимости от времени года (как это, например, имеет место в побегах ели), то становится очевидным, что хинная кислота является важным промежуточным продуктом обмена веществ у растений.
Очень часто хинная кислота сопровождается в растениях небольшими количествами шикимовой кислоты.

В результате работ Б.Дэвиса (1951–1960), проведенных с мутантами кишечной палочки (Escherichia coli), было установлено, что шикимовая кислота является ключевым промежуточным продуктом в биосинтезе ароматических аминокислот и фенольных соединений.
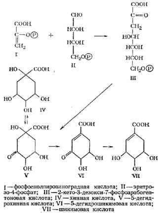
Исходными соединениями для образования хинной и шикимовой кислот являются фосфоенолпировиноградная кислота (образующаяся при гликолитическом распаде сахаров) и эритрозо-4-фосфат (продукт пентозофосфатного цикла). Под действием конденсирующего фермента они образуют семиуглеродную 2-кето-3-дезокси-7-фосфоарабогептоновую кислоту. Последняя с высвобождением фосфатного остатка циклизуется в 5-дегидрохинную кислоту, которая при участии дегидрохиназы превращается в 5-дегидрошикимовую кислоту. Последовательность происходящих превращений представлена на следующей схеме:

Первоначально эта схема была доказана для микроорганизмов. Однако за последние годы и в высших растениях были обнаружены ферментные системы, осуществляющие указанные превращения.
При введении в ткани растений хинная и шикимовая кислоты легко превращаются в фенольные соединения.
Лекция 3 Фенольные соединения
3.1 Общая характеристика фенольных соединений, их функции
3.2 Классификация и характеристика отдельных групп фенольных соединений






