Классификация и характеристика отдельных групп фенольных соединений
Огромное разнообразие природных фенольных соединений (к настоящему времени их известно уже свыше тысячи) может быть разбито на три основные группы, исходя из углеродного скелета:
1) С6—C1-соединения, 2) С6—С3-соединения и 3) С6—С3—С6-соединения.
Группа С6—C1 соединений представлена оксибензойными кислотами: n -оксибензойной, протокатеховой, ванилиновой, галловой и сиреневой:

Оксибензойные кислоты широко распространены в растениях. Они обычно присутствуют в них в связанной форме и высвобождаются при гидролизе. Наличие ванилиновой и особенно сиреневой кислоты характерно для древесных растений, так как эти кислоты в виде эфиров включаются в состав лигнина.
Галловая кислота найдена в растениях как в свободном виде, так и в виде димера — метадигалловой кислоты:

Сложноэфирная связь, образуемая за счет фенольной гидроксильной группы одной молекулы фенолкарбоновой кислоты и карбоксильной группы другой, по предложению Эмиля Фишера называется депсидной связью, а соединения, содержащие такие связи, ‑ депсидами. Депсиды галовой кислоты являются исходными продуктами для образования гидролизуемых дубильных веществ.
Из С6 ‑ C1-соединений широко известен ванилин (альдегид ванилиновой кислоты), обладающий характерным приятным запахом. В виде глюкозида он содержится в плодах ванили. Ванилин широко применяется в мыловаренной и кондитерской промышленностях в качестве душистого вещества. Букет старого коньяка связан с наличием ванилина ‑ в молодых коньяках его в 10–15 раз меньше, чем в старых. При изготовлении коньяка ванилин образуется в результате окисления кониферилового спирта. Последний содержится в клепке дубовых бочек, в которых производится многолетняя выдержка коньяков с целью улучшения их аромата.
Группа С6 ‑ С3-соединений делится на подгруппы оксикоричных кислот и кумаринов.
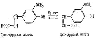
Оксикоричные кислоты ‑ n -оксикоричная (n -кумаровая), кофейная, феруловая и синаповая ‑ присутствуют в растениях, как в свободном, так и в связанном виде.

Характерной особенностью оксикоричных кислот (а также самой коричной кислоты) является цис-транс- изомерия.

Существующее в растворах подвижное равновесие этих двух форм при облучении УФ-светом резко сдвигается в сторону образования цис -формы. Эта особенность оксикоричных кислот имеет, по-видимому, важное физиологическое значение, поскольку установлено, что цис -формы являются активаторами ростовых процессов растений. Транс- формы оксикоричных кислот этой способностью не обладают.
В растениях часто встречаются сложные эфиры оксикоричных кислот и гидроароматических кислот (хинной и шикимовой), иногда не совсем правильно именуемые депсидами. Характерным примером таких эфиров может служить хлорогеновая (кофеил-3-хинная) кислота:

Хлорогеновая кислота чрезвычайно широко распространена в растениях. Особенно в больших количествах она содержится в прорастающих семенах подсолнечника и необжаренных зернах кофе, где сопровождается неохлорогеновой (кофеил-5-хинной) кислотой.
Известны также сложные эфиры оксикоричных кислот с алифатическими кислотами. Например, дикофеилвинная (цикориновая) кислота, выделенная из листьев цикория, кофеиляблочная (фазеолиновая) кислота, содержащаяся в листьях фасоли. К этой подгруппе С6 ‑ С3-соединений относятся оксикоричные спирты: n -кумаровый, конифериловый и синаповый. Оксикоричные спирты являются исходными компонентами в биосинтезе лигнина.
Кумарины. Помимо широко распространенной n -оксикоричной кислоты, в некоторых растениях найдена о -оксикоричная кислота. Ее транс -форма устойчива, но цис -форма (называемая также кумариновой кислотой) в кислой среде мгновенно циклизуется с образованием устойчивого лактона кумарина:

Кумарин представляет собой бесцветное кристаллическое вещество с приятным горьковатым запахом, напоминающим запах сена. Чистый кумарин и цветы донника (в которых кумарин содержится главным образом в виде глюкозида) применяются в качестве ароматизаторов при изготовлении некоторых сортов курительного табака. Большое значение имеет кумарин в парфюмерной промышленности.
Значительно чаще, чем сам кумарин, в растениях встречаются его гидроксилированные производные ‑ эскулетин и скополетин:

Эскулетин в виде 7-глюкозида эскулина накапливается в околоплодниках конского каштана и используется в медицине как капиллярукрепляющее средство.
Группа С6 ‑ С3—С6-соединений особенно разнообразна. Принадлежащие к этой группе фенольные соединения называются также флавоноидами. Молекула флавоноида содержит два бензольных ядра и одно гетероциклическое кислородсодержащее (называемое пирановым). Флавоноиды можно рассматривать как производные флавана

Флавоноиды могут быть разбиты на шесть основных подгрупп, исходя из степени окисленности (или восстановленности) гетероциклического фрагмента: катехин, лейкоантоцианы, флаваноны, антоцианы, флавоны, флавонолы.
Катехины. Являются наиболее восстановленной группой флавоноидных соединений. Катехины встречаются в 4-х изомерных формах благодаря наличию двух асимметрических атомов углерода.

Катехины представляют собой бесцветные кристаллические вещества, легко окисляющиеся и склонные к полимеризации. Они широко распространены в растениях, содержатся во многих съедобных плодах (яблоки, груши, вишня, айва, персики, абрикосы) и в ягодах (ежевика, земляника, брусника, смородина, малина, виноград). Особенно богаты катехинами молодые побеги чайного растения, используемые для изготовления чая ‑ они содержат до 30% катехинов (на сухой вес). Окислительные превращения катехинов играют важную роль в производстве какао, виноделии и, особенно, в чайной промышленности. Связано это с тем, что продукты окисления катехинов обладают характерным приятным слабо вяжущим вкусом и окраской.
Многие флавоноидные соединения обладают так называемым Р-витаминным действием на организм животных и человека ‑ они увеличивают упругость кровеносных капилляров и нормализуют их нарушенную проницаемость. Катехины обладают наиболее высокой Р-витаминной активностью по сравнению со всеми другими группами флавоноидных соединений.
Лейкоантоцианы. Являются еще более неустойчивыми соединениями. При обработке разбавленными минеральными кислотами переходят в окрашенные антоцианидины. Впервые были изучены в 1914 г. создателем хроматографического метода М.С. Цветом, который показал их широкое распространение в растениях. Наиболее часто встречается лейкоцианидин. Помимо простейших лейкоантоцианов, в ряде растений (особенно древесных) найдены более сложные олигомерные формы.

Флаваноны. Бесцветные кристаллические вещества, особенно часто встречающиеся в плодах различных видов цитрусовых. В кожуре грейпфрута содержится флаванон нарингин, а в кожуре апельсина и мандарина ‑ флаванон гесперидин. Нарингин обладает горьким вкусом, гесперидин нет.
Антоцианы. Это ‑ красящие вещества растений. Окрашивают плоды, листья, лепестки цветов в самые разнообразные оттенки, от розового до черно- фиолетового.

Антоциан
Строение антоцианов было установлено в 1913–1916 гг. одним из крупнейших немецких химиков Р. Вильштеттером. Все они содержат в гетероциклическом кольце четырехвалентный кислород (оксоний) и благодаря этому легко образуют соли, например хлориды. В отличие от хлорофилла являются непластидными пигментами, сосредоточенными в вакуолях клеток. В тканях растений присутствуют, как правило, в виде гликозидов. Гликозиды антоциана цианидина входят в состав красящих веществ плодов вишни, сливы, земляники, винограда и брусники.
Первоначально предполагалось, что разнообразие окраски антоцианов объясняется их индикаторными свойствами и зависит от величины рН клеточного сока, в котором они растворены. Установлено, что антоциановая пигментация растительных тканей зависит от многих факторов:
1) комплексообразование с ионами металлов (К-соли имеют пурпурную окраску, а Са- и Mg-соли ‑ синюю),
2) строение антоцианидина (метилирование изменяет окраску в красную сторону);
3) адсорбция на полисахаридах.
Флавоны. Вещества, обладающие желтой окраской. Обычно встречаются в виде гликозидов. Наиболее распространенными являются апигенин, лютеолин и трицин. Апигенин содержится в петрушке, цветах хризантемы, плодах кислого апельсина (Citrus aurantium), трицин найден в пшенице, рисе и люцерне.

Флавонолы. Чрезвычайно широко распространенные в растениях желтые красящие вещества. Образуют большое число разнообразных гликозидов: кемпферол, кверцетин, мирицетин.

3-глюкозид кемпферола ‑ астрагалин выделен из цветов астрагала и конского каштана, из листьев чая и хурмы. 3-рамнозид кверцетина — кверцитрин содержится в коре многих видов дуба, листьях чая, яблони, ягодах винограда, табаке, хмеле. 3-рамноглюкозид кверцетина, называемый рутином, встречается в растениях особенно часто. Он широко используется в медицине как капиллярукрепляющее средство (хотя и уступает по своей активности катехинам).
Лекция 4. Полимерные фенольные соединения
4.1 Дубильные вещества
4.2 Лигнин
4.3 Меланины
Помимо перечисленных выше мономерных фенольных соединений в растениях содержатся и полимеры фенольной природы. К ним принадлежат: дубильные вещества, лигнин и меланины. Сюда же иногда относят и образующиеся в почве при гумификации растительных остатков гуминовые кислоты.
Названы так по своей способности дубить невыделанную шкуру, превращая ее в кожу. Эта способность дубильных веществ основана на их взаимодействии с коллагеном (белком кожных покровов), приводящим к образованию устойчивой поперечносвязанной структуры.
Природные дубильные вещества обычно имеют молекулярный вес порядка 1000–5000 и представляют собой сложную смесь близких по составу соединений. Несмотря на существование синтетических дубителей, растительные дубильные вещества не потеряли своего важного значения, так как они необходимы для получения кожи высокого качества.
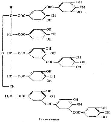
С исследованиями строения дубильных веществ связаны имена крупнейших химиков: Э. Фишера, К. Фрейденберга, П. Каррера. По существующей классификации дубильные вещества делятся на конденсированные и гидролизуемые. Последние, разбиваются на подгруппы галловых и эллаговых дубильных веществ. Гидролизуемые дубильные вещества при обработке разбавленными кислотами распадаются с образованием более простых соединений фенольной и нефенольной природы.
Характерным представителем галловых дубильных веществ является так называемый галлотаннин, или китайский таннин, — дубильное вещество листьев различных видов сумахи. При кислотном гидролизе или при обработке ферментом танназой (продуцируется Aspergillus niger или Penicillium glaucum и представляет собой комплекс эстераз) галлотаннин расщепляется на глюкозу и галловую кислоту. Основным компонентом галлотаннина является пентагаллоилглюкоза, к которой присоединены еще 4 остатка галловой кислоты.
У других галловых дубильных веществ место глюкозы может занимать сахар с разветвленной углеродной цепочкой — гамамелоза (a-оксиметил-D-рибоза). Таково, например, дубильное вещество коры каштана, являющееся производным дигаллоилгамамелозы. Дубильное вещество стручков тропического растения Caesalpinia spinosa представлено пентагаллоилхинной кислотой и ее аналогами.

Эллаговые дубильные вещества отличаются от галловых тем, что при их гидролизе образуется нерастворимая эллаговая кислота. Она содержится в корке граната, кожуре незрелых грецких орехов, миробаланах (плоды растения Terminalia chebula), древесине эвкалипта.

Конденсированные дубильные вещества в отличие от гидролизуемых при нагревании с разбавленными кислотами подвергаются дальнейшему уплотнению. Они являются полимерами катехинов или лейкоантоцианов или сополимерами этих двух типов флавоноидных соединений. Строение конденсированных дубильных веществ до сих пор недостаточно изучено. По Фрейденбергу, конденсация катехинов сопровождается разрывом гетероцикла и приводит к образованию линейных полимеров с большим молекулярным весом.

Источниками конденсированных дубильных веществ являются кора ивы, сосны, ели, лиственницы, древесины некоторых видов акации, каштана и дуба.
В последнее время из бобов какао, плодов боярышника и яблок были выделены димеры катехинов и лейкоантоцианов, например димер (–)-эпикатехина и лейкоцианидина. Подобные димеры могут рассматриваться как прототипы истинных дубильных веществ.