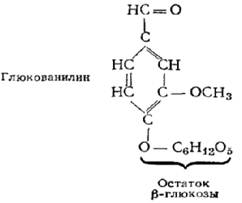
В дисахаридах и трисахаридах молекулы образующих их моносахаридов соединены между собою гликозидной связью. Если молекула моносахарида соединяется за счет своего гликозидного гидроксила с каким-либо спиртом неуглеводной природы, то такие соединения называются собственно гликозидами. Соединенная с сахаром часть молекулы гликозида носит название агликона («не-сахар»). Гликозиды часто являются веществами, обладающими горьким вкусом или специфическим ароматом. Поэтому некоторые из них играют важную роль в пищевой промышленности. Например, глюкозид синигрин, содержащийся в семенах черной горчицы, придает им специфический запах и горький вкус. Глюкованилин ‑ глюкозид, находящийся в плодах ванили, при томлении этих последних подвергается ферментативному гидролизу с образованием ванилина и глюкозы.

С наличием глюкозида амигдалина связан специфический вкус и аромат горького миндаля, а также абрикосовых, сливовых и персиковых косточек. В картофеле содержатся гликозиды соланины, иногда придающие картофелю неприятный, горький вкус.
В зависимости от того, какая форма моносахарида, a- или b, входит в состав гликозида, мы имеем дело с a- или b-гликозидом. Дисахариды также являются a- или b-гликозидами, в которых роль агликона играет тот или иной моносахарид. Поэтому гидролитическое расщепление гликозидов и дисахаридов осуществляется одними и теми же ферментами. Например, фермент a-глюкозидаза гидролизует все a-глюкозиды и дисахариды, построенные по типу a-глюкозидов — мальтозу и трегалозу. Фермент b-глюкозидаза расщепляет глюкозиды и соответствующие дисахариды, построенные по типу b-глюкозидов, например целлобиозу.






