Разработать математическую модель для нагревательной
М3 – методическая зона.
С3 – сварочная зона.
Т3 – томильная зона.
ВР – воздушный рекуператор.
Граф:

Структурная матрица: Матрица видов связи:
| II | III | IV | V | Σ | |
| -1 | |||||
| -1 | -1 | ||||
| -1 | |||||
| -1 | |||||
| -1 | |||||
| -1 | |||||
| -1 | |||||
| -1 | |||||
| -1 | |||||
| -1 | |||||
| -1 | |||||
| -1 | -1 |
| М | Т | В | ПС | |
Матрица смежности: Матрица процессов:
|
|
|
| I | II | III | IV | V | |
| I | |||||
| II | |||||
| III | |||||
| IV | |||||
| V |
| I | -2 | -7 | ||||
| II | -3 | -6 | ||||
| III | -4 | -5 | ||||
| IV | -9 | -10 | -11 | -12 | ||
| V | -14 | -15 | -16 | -17 |
Матрица контуров:
| Σ | |||||||||||||
| итог |
Балансовые у-ния:
| № эл-та | графическое у-ние | балансовое у-ние | примечание |
| I |
|
|
(1)
(2)
|
| II |
|
|
(3)
(4)
|
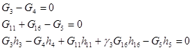
| III |
|
|
(5)
(6)
|
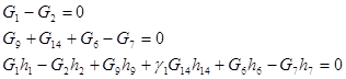
| IV |
|
|
(7)
(8)
|
| V |
|
|
(9)
(10)
|
10у-ний – 10 переменных мы можем ставить.
Мсв = 34.
S = 34 – 10 = 24 – должны задать.




.
Nв = 12.
N6 = 12 – 3 =9






(1).
(2).
(3).
(4).
(5).
(6).
(7).
(8).
(9).
(10).
Составим матрицу функциональных связей:
|
|
|
|
|
|
|
|
|
|
| |
| |||||||||||
| |||||||||||
| |||||||||||
| |||||||||||
| |||||||||||
| |||||||||||
| |||||||||||
| |||||||||||
| |||||||||||
| |||||||||||

|
|
|

(1)
(2)
(3)
(4)
(5)
(6)
(7)
(8)
(9)
(10)






