Определение допустимых технических решений.
Техническое осуществление того или иного варианта теплотехнической сис-мы или ее отдельных эл-ов определяется выполнением ограничений, которые входят в мат. модель:
1 – ограничения на независимые пар-ры.
2 – ограничения на технологические хар-ки эл-ов.
3 – ограничения на зависимые переменные.
Следует отметить, что ограничения на зависимые переменные и технологические хар-ки, при заданной сис-ме балансовых у-ний м.б. выполнены при правильном выборе соответствующих сочетаний значений независимых переменных.
Для хорошо известных типов оборудования и сис-м, такой выбор не вызывает затруднения и основывается на известном инженерном опыте. Для новых типов установок, когда отсутствует опыт их эксплуатирования и эксплуатации нельзя ориентироваться только на инженерную инструкцию. Поэтому разработаны и разрабатываются спец. способы и методы постановки и решения подобных задач.
Для теплоэнергетических сис-м наиболее распространенным и приемлемым, в настоящее время явл-ся цепочечная методика, основанная на том, что любую сис-му можно разбить на подсис-мы, состоящие из цепочки эл-ов. Для каждой цепочки эл-ов выбирается такой состав независимых пар-ров, при котором одновременно выполнение ограничений для независимых пар-ров на входе и выходе из цепочки, строго выполняются ограничения для зависимых пар-ров.
Такая возможность для теплоэнергетических сис-м сущ-ет из-за:
1. односторонней направленности и по стадийному разбитию по эл-ам сис-мы пр-сов замкнутого или словно разомкнутого технологического цикла.
2. вследствие применения конструкторского принципа рассчитывать эл-ты сис-мы по наиболее ответственному условию надежности уч-ка.
Сущ-ет 3 вида ограничений:




ПП – пароперегреватель.
КП – конвективный пучок.
Т – топка.
ВП – воздухоподогреватель.
Для каждой цепочки эл-та достаточно соблюдать условие по ограничениям для входных и выходных пар-ров, чтобы все остальные пар-ры цепочки были в пределах допустимой области. Поэтому в качестве независимых пар-ров целесообразно выбирать, прежде всего, начальные и конечные пар-ры цепочек.
Кроме наиболее простых случаев, когда в технологическом пр-се можно выделить изолированную цепочку эл-ов, последовательно соединенных переменных в схеме сис-мы могут иметь место более сложные случаи промежуточных связей между одним или нескольких цепочек.
В этом случае удовлетворение эквивалентности ограничений достигается делением цепочек и принятием пар-ров в точках деления, т.е. в местах входа и выхода промежуточной связи в качестве независимых.
Однако, выбранные таким образом исходный вектор независимых пар-ров, может не удовлетворять неявным техническим ограничениям по технологическим пар-ам, и в этом случае сочетание значений независимых пар-ров приходиться многократно изменять. При этом возможны различные варианты нарушения ограничений на пар-ры сис-мы. Как показывают исследования для теплоэнергетических сис-м для каждой ф-ции входящий вектор ограничений по технологическим хар-кам можно найти 1 или несколько пар-ров, которые наиболее сильно влияют на эту ф-цию.
Например, изменением диаметра трубы в ТОА можно воздействовать на изменение скорости т-ры стенки или ее толщины. Данная возможность позволяет каждой ограничивающей ф-ции в эл-те поставить соответствие одного из свободно выбираемых конструктивных пар-ров эл-та. С другой стороны, ввиду конструктивного разделения эл-ов конструктивные пар-ры одного эл-та слабо влияют на ограничивающую ф-цию других эл-ов особенно вне соседних эл-ов. Отсюда имеется возможность измерять значения ограничивающих ф-ций данного эл-та почти не изменяя ф-ции других эл-ов. В случае если изменения конструктивных пар-ров, не позволяет получить приемлемого технического решения, необходимо измерять значение ТД или расходных пар-ров.
Например, если при конструировании пароперегревателя из определенной марки стали даже при наилучших конструктивных пар-рах не удается снизить т-ру стенки до допустимой из-за высокой заданной т-ры перегрева пара. Следовательно, снизить эту т-ру, либо снизить т-ру продуктов сгорания, либо одновременно воздействовать на оба пар-ра. Для таких случаев имеется спец. метод, позволяющий ввести значения ограничивающих ф-ций с допустимыми пределами. Эти методы относятся к области котла оптимальных решений.

(интерполяция, аппроксимация). Другие методы, рассказать, что сущ-ет. Чем отличается интерполяция от аппроксимации.

| х | у |
| x1 | y1 |
| x2 | y2 |
| … | … |
| хn | yn |
При интерполяции: при аппроксимации:
Часто используется метод наименьших квадратов.
Критерий:
- сумма квадратов отключения.
Находится минимум:




берем производную по а, затем производную по b.
Решаем эти у-ния:
.
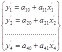
На практике для реализации определения теплофизических св-в ТН используют метод аппроксимации, интерполирования и методы, основанные на специфических алгоритмах для отдельных теплоносителей (ТН).
Для отдельных теплоносителей (вода и водяной пар):



| х | у |
| x1 | y1 |
| x2 | y2 |
| … | … |
| хn | yn |
Индекс относится к номерам интервала.
В случае аппроксимации:
y=f(x) – заменяется на аппроксимирующую ф-цию:
пар-ры у которой определяются по некоторому выбранному критерию. Наиболее часто используют метод наименьших квадратов (МНК), в котором критерием явл-ся минимум суммы квадратов отклонения между исходной и аппроксимирующей ф-цией:








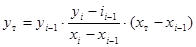
составляется подпрограммная процедура для линейной интерполяции.
{Декларация – переменная – подпрограмма.
procedure{ввод.
{расчет.
Procedure Lint (i, r, integer: xt real; var yt real);
или
i,r integer
x,t: real
var yt real
ur integer.
i – N столбца аргумента.
k – N столбца ф-ции.
xt – текущее значение аргумента.
уt – текущее значение ф-ции.
lint (1,2, t1, ro1);
lint (1,4, t1, la1);
Для подпрограммы:
Procedure intr (x: real; i,j: integer; var y: real);
{х – аргумент; i – номер столбца аргумента; j – номер столбца ф-ции; у – ф-ция}.
var
k: integer;
begin
k:=1;
while x>a [k,i] do
k:= k+1;
y:=a[k-1, j] + (a[k, j]-a[k-1, j])*(x-a[k-1, i])/(a[k, i]-a[k-1, i]);
end.
Примечание: Дополнительно необходимо сделать проверку на значения аргумента, что она находится в диапазоне заданных значений таблицы базовых точек.

Procedure intr (x: real; i,j: integer; var y: real);
intr (t1, 1,3, cp1); Cp1=f(t1).
intr (cp1, 3,1, t1); t1 = f2(Cp1).
Проверка:
Procedure intr (…, ir: integer); ir – пар-р ошибки.
if x<a[1,i] then x=a[1, i];
if x>a[m,i] then x=a[m, i];
if x>a[m,i] then
begin
x:=a[m, i];
ir:=2.
end;
Procedure intr (x: real; i,j: integer; var y: real; ir integer);
Begin k:=1;
if x<a[1,i] then begin
x:=a[1, i]; {значения аргумента меньше меньшего}
ir:=1;
end.
if x>a[m,i] then begin
x=a[m, i]; {значения аргумента больше большего}
ir:=1;
end.
Begin
ir =
; {начальное значение пар-ра ошибки}
……………………………………………
intr (t1, 1,3, cp1, ir);
if ir <> 0 then deign
writeln
)
ir:=
end.
Если пар-р ошибки объявить, как глобальную переменную в основной пр-сс, то ее не нужно указывать в числе формальных пар-ров в названии подпрограмма и не нужно указывать в числе фактических пар-ров при обращении к подпрограмме.
Под синтезом понимают процедуру поиска конкретного технического решения.
Под процедурой анализа понимают оценку технического решения с помощью аналитического или экспериментального исследования.
Процедура поиска – это определение оптимального решения, т.е. решения соответствующего экстремальному значению критерия эффективности. При проектировании технических объектов соподчиненность данных процедур можно представить диаграммой.






