Общий вид расчетного у-ния:
.
Нулевое приближение:
.
Первое приближение по простой итерации:
.
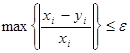
Условие:
.
Коэффициент α подбирается опытным путем:
.
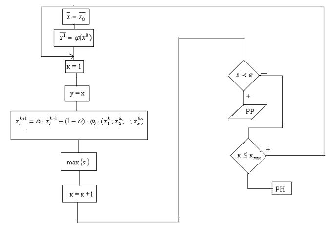
Алгоритм решения:

27. Метод Зейделя.
Общий вид расчетного у-ния:
.
Нулевое приближение:
.
Условие:
.
Алгоритм решения:

Отличительной чертой явл-ся то, что при расчете i-ой переменной на к+1-й итерации используется значение расчета предыдущих у-ний на данной операции.






