Основные теоремы теории электрических цепей. Энергетические соотношения в цепи постоянного тока
Свойства линейных электрических цепей, которые являются общими для цепей любой сложности, сформулированы в теоремах и упрощают задачу анализа цепи. Рассмотрим подробнее самые распространенные из них, ограничиваясь только формулировкой для других теорем.
В линейной электрической цепи, которая содержит источники ЭДС, контурные токи (токи в ветвях) являются линейными функциями контурных ЭДС:

где
- частичный ток, который возникает в
- том контуре от действия только источника
, то есть при 
при 

при 
Т. е. ток
в
- том контуре электрической цепи равен алгебраической сумме частичных токов, которые вызываются в этом контуре каждой ЭДС, действующей отдельно: 
Аналогично для электрической цепи, которая одержит источники тока, для узловых напряжений (напряжений на элементах ветвей) по формуле (4.16) можно получить соотношение: 
Если ввести понятия: действие (возбуждение) – внесение источника в электрическую цепь; отклик (реакция) – появление тока (напряжения) в цепи, общая формулировка теоремы наложения будет такова: реакция цепи на несколько возбуждений равна алгебраической сумме реакций для каждого возбуждения, которое действует отдельно.
Пример 4.1 Для схемы (рисунок 4.1) по методу наложения найти ток
, если известны значения всех элементов цепи.

Рисунок 4.1 Схема соединения сопротивлений
1. Допустим, что Е = 0, I = 0. Исключим из схемы источник тока (разомкнем) и найдем частичный ток,
методом эквивалентных преобразований, пользуясь законом Ома и формулой распределения токов.

Рисунок 4.2 Схема соединения сопротивлений после исключения источника тока
Тогда получим для схемы изображенной на рисунке 4.2:

2. Допустим, что источник напряжения
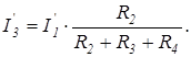
, а источник тока I = 0. Исключаем источник ЭДС (закорачиваем), и находим частичный ток
ля схемы, изображенной на рисунке 4.3:
.

Рисунок 4.3 Схема соединения сопротивлений после исключения источника ЭДС
3. Находим полный ток
Знак “минус” тока
объясняется тем, что его направление не совпадает с положительным направлением тока
в данной схеме.






