Теорема об эквивалентном источнике тока (теорема Нортона)
Любой линейный, активный двухполюсник можно заменить эквивалентным источником тока, заданный ток которого равен току короткого замыкания между зажимами двухполюсника и внутренним сопротивлением, которое равно входному сопротивлению пассивного двухполюсника.
Режим короткого замыкания (цепи или генератора) означает работу в ненагруженном режиме, когда выходное напряжение равно нулю, а выходные зажимы закорочены.
Значит, по теореме Нортона, эквивалентны две схемы (рисунок 4.9).

Рисунок 4.10 Графическое пояснение теоремы Нортона
По условиям
согласно с принципа эквивалентности
.
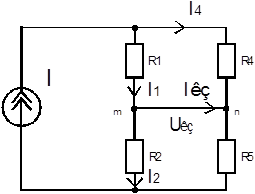
Пример 4.3. Для схемы (рисунок 4.7) определим ток
, пользуясь теоремой Нортона.
После применения теоремы Нортона получаем следующую схему

Рисунок 4.11 Схема соединения сопротивлений после преобразовании по теореме Нортона
ток короткого замыкания равен:

Входное сопротивление пассивного двухполюсника найдено выше, в примере 4.2.
1. По схеме (рисунок 4.12),

Рисунок 4.12 Схема соединения сопротивлений после преобразований
найдем:

4.6.1.Баланс мощностей.
Алгебраическая сумма мощностей, которые вырабатывают все источники энергии в цепи, равны арифметической сумме мощностей, выделенных на сопротивлениях схемы.
Уравнение баланса мощностей можно представить в таком виде:
(4.1)
где
– количество источников Э.Д.С., источников тока и резисторов.
Знак направления источника зависит от направления тока через источник Э.Д.С. или напряжения на зажимах источника тока.

Рисунок 4.13 Обозначение знака направления источников ЭДС и тока
4.6.2 Условие согласования источника с нагрузкой по мощности.
Условие согласования обеспечивает максимальную мощность
, которая потребляется в нагрузке.
Рассмотрим линейный двухполюсник. Заменим его по теореме Тевенена эквивалентным источником напряжения (рисунок 4.6). Выясним, при каком значении сопротивления нагрузки
мощность
, которая в нем теряется, будет максимальной:

чтобы найти экстремум, решим уравнение: 

поскольку знаменатель является дополнительной величиной и не может быть равным нулю, приравняем к нулю числитель. Тогда:

(4.2)
формула (4.2) отвечает требованию согласования. При этом максимальная мощность равна:
.
При этом мощность, которая вырабатывается источником, будет такой:

где
– ток нагрузки в режиме согласования.
4.6.2 Понятие коэффициента полезного действия (КПД).
КПД – это отношение полезной мощности к мощности источника 

Если
значение КПД будет таким: 
При условии
, зависимости КПД и мощностей
от тока в нагрузке изображены на рисунке 4.14, а зависимость
– на рисунке 4.15

Рисунок 4.14 зависимость КПД и мощностей от тока в нагрузке

Рисунок 4.15 Зависимость мощности от сопротивления нагрузки
Для закрепления полученных знаний при изучении подразделов 4.1, 4.2, 4.3 и 4.4 дайте письменные ответы на контрольные вопросы, приведенные ниже.






