Вопрос 4. Расчет страховых тарифов в рисковых видах страхования
Основой для расчета нетто-ставки страхового тарифа по рисковым видам страхования служит убыточность страховой тарифной ставки за тарифный период.
К рисковым относятся виды страхования:
- не предусматривающие обязательств страховщика по выплате страховой суммы по окончании срока действия договора страхования;
не связанные с накоплением страховой суммы в течение срока действия договора страхования.
В указанных видах страхования не используется принцип капитализации (накопления) и, следовательно, при расчете нетто-ставок не используются методы финансовых исчислений (дисконтирование, начисление сложных процентов и т.д.). Это отличает рисковые виды страхования от страхования жизни.
Рисковые виды страхования можно условно разделить на массовые виды и страхование редких событий и крупных рисков.
Массовые рисковые виды страхования предположительно охватывают значительное число субъектов страхования и страховых рисков, характеризующихся однородностью объектов страхования и незначительным разбросом в размерах страховых сумм. К подобным видам страхования относится большинство видов страхования имущества и гражданской ответственности частных лиц, а также некоторые виды личного страхования (такие, как страхование от несчастного случая, страхование медицинских расходов и т.д.).
|
|
|
Распоряжением от 8 июля 1993 г. № 02-03-36 Росстрахнадзор утвердил методики расчета тарифных ставок по рисковым видам страхования. Первая методика применяется при следующих условиях:
- существует статистика либо какая-то другая информация по рассматриваемому виду страхования, что позволяет оценить:
р — вероятность наступления страхового случая по одному договору страхования,
Sn — среднюю страховую сумму по одному договору страхования,
Q — среднее возмещение по одному договору страхования при наступлении страхового случая;
- предполагается отсутствие опустошительных событий, когда одно из них влечет за собой несколько страховых случаев;
-расчет тарифов проводится при заранее известном количестве договоров п, которые предполагается заключить со страхователями.
Методика применима, если имеется информация о сумме страховых возмещений и совокупной страховой сумме по рискам, принятым в страховании за ряд лет, или если зависимость убыточности от времени близка к линейной.
Под рисковыми понимаются виды страхования, относящиеся к видам страховой деятельности иным, чем страхование жизни:
- не предусматривающие обязательства страховщика по выплате страховой суммы при окончании срока действия договора страхования;
|
|
|
- не связанные с накоплением страховой суммы в течение срока действия договора страхования.
Данная методика пригодна для расчета тарифных ставок для рисковых видов страхования и применима при следующих условиях:
1. существует статистика либо какая-то другая информация по рассматриваемому виду страхования, что позволяет оценить следующие величины:
q — вероятность наступления страхового случая по одному договору страхования;
S — среднюю страховую сумму по одному договору страхования;
Sв — среднее возмещение по одному договору страхования при наступлении страхового случая;
2. предполагается, что не будет опустошительных событий, когда одно событие влечет за собой несколько страховых случаев;
3. расчет тарифов проводится при заранее известном количестве договоров n, которые предполагается заключить со страхователями.
При наличии статистики по рассматриваемому виду страхования за величины q, S, Sв принимаются оценки их значений:

Где N — общее количество договоров, заключенных за некоторый период времени в прошлом;
М — количество страховых случаев в N договорах;
Si — страховая сумма при заключении i-го договора; i = 1, 2,..., N;
Sвk — страховое возмещение при k-м страховом случае; k = 1, 2,..., М.
При страховании по новым видам рисков при отсутствии фактических данных о результатах проведения страховых операций, т. е. статистики по величинам q, S и Sв эти величины могут оцениваться экспертным методом либо в качестве них могут использоваться значения показателей-аналогов. В этом случае должны быть представлены мнения экспертов либо пояснения по обоснованности выбора показателей-аналогов q, S, Sв. В отношение средней выплаты к средней страховой сумме (Sв/S) рекомендуется принимать не ниже:
0,3 — при страховании от несчастных случаев и болезней, в медицинском страховании;
0,4 — при страховании средств наземного транспорта;
0,6 — при страховании средств воздушного и водного транспорта;
0,5 — при страховании грузов и имущества, кроме средств транспорта;
0,7 — при страховании ответственности владельцев автотранспортных средств и других видов ответственности и страховании финансовых рисков.
Нетто-ставка состоит из двух частей — основной части и рисковой надбавки:

Основная часть нетто-ставки соответствует средним выплатам страховщика, зависящим от вероятности наступления страхового случая, средней страховой суммы и среднего возмещения. Основная часть нетто-ставки со 100 руб. страховой суммы рассчитывается по формуле

Рисковая надбавка вводится для того, чтобы учесть вероятные превышения количества страховых случаев относительно их среднего значения. Кроме того её величина зависит еще от трех параметров: — количества договоров, отнесенных к периоду времени, на который проводится страхование, среднего разброса возмещений и гарантии - требуемой вероятности, с которой собранных взносов должно хватить на выплату возмещения по страховым случаям.
Возможны два варианта расчета рисковой надбавки.
1. Рисковая надбавка может быть рассчитана для каждого риска. В этом случае

где — α(γ) коэффициент, который зависит от гарантии безопасности. Его значение может быть взято из таблицы
| Гарантия безопасности γ | 0,84 | 0,9 | 0,95 | 0,98 | 0,9986 |
| Коэффициент гарантии α(γ) | 1,0 | 1,3 | 1,645 | 2,0 | 3,0 |
— среднеквадратическое отклонение возмещений при наступлении страховых случаев.
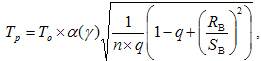
2. Если у страховой организации нет данных о величине
, допускается вычисление рисковой надбавки по формуле

Брутто-ставка Tб рассчитывается по формуле

Где
нетто-ставка,
— доля нагрузки в общей тарифной ставке.
Вторую методику рекомендуется использовать по отдельным видам рисков. Расчет тарифной ставки производится по данным страховой статистики за ряд лет и прогноза убыточности страховой суммы на следующий год. Методика применима, если имеется информация о сумме страховых возмещений и совокупной страховой сумме по рискам, принятым в страхование за ряд лет, если есть зависимость убыточности от времени близка к линейной.
|
|
|
Резюме: Таблица 1 - Классификация видов страхования с точки зрения особенностей расчета нетто-ставок
| Вид страхования | ||
| Личное страхование | Страхование имущества | |
| Страхование жизни | Массовые рисковые виды страхования | Страхование редких событий и крупных рисков |
| Наиболее характерные виды страхования | ||
| Страхование на дожитие Страхование на случай смерти Все виды страхования, предусматривающие выплату рент (в т.ч. страхование пенсий, страхование на случай инвалидности) | Личное страхование: страхование от несчастного случая, Страхование медицинских расходов граждан Страхование имущества и гражданской ответственности частных лиц: страхование домашнего имущества, страхование автомобилей, ОСАГО | Страхование промышленных предприятий Авиационное и космическое страхование Страхование на случай природных катастроф |
| Особенности видов страхования, оказывающих влияние на расчет нетто-ставок | ||
| Элемент случайности связан со случайным характером продолжительности человеческой жизни Долгосрочность | Большое число однородных объектов и статистических данных по ним | Страховые события происходят очень редко (раз в несколько лет) Ограниченность количества страхуемых объектов |
| Особенности расчета нетто-ставок | ||
| В качестве исходных данных для расчета используется демографическая статистика, представленная в таблицах смертности Используются методы долгосрочных финансовых исчислений (в частности, дисконтирование) | Расчет тарифных ставок осуществляется статистическими методами с использованием средних показателей | При расчете нетто-ставок приходится отслеживать временные серии за несколько десятков лет Использование специальных методов расчета для малого числа договоров и международное сотрудничество при выработке единых правил и тарифов |
| Рекомендуемые Росстрахнадзором методики для расчета тарифных ставок | ||
| "Методика расчетов страховых тарифов по видам страхования, относящимся к страхованию жизни", утв. Приказом Росстрахнадзора № 02-02/18 от 28.06.96 г. | "Методика расчета тарифных ставок по рисковым видам страхования", утв. распоряжением Федеральной службы РФ по надзору за страховой деятельностью № 02-03-36 от 08.07.93г. | Специальной рекомендуемой методики нет. Возможно частичное, использование методики для массовых рисковых видов страхования с некоторыми изменениями |
|
|
|