Критическая точка перехода пар-жидкость представляет пример непрерывного фазового перехода (или, по классификации П.Эренфеста, фазового перехода 2-го рода), при котором первые производные от термодинамического потенциала непрерывны, а скачком меняются вторые производные.
Вторые производные термодинамических потенциалов являются так называемыми термодинамическими коэффициентами. Среди них наиболее важными представляются следующие.
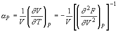
Коэффициент теплового расширения
(3.18)
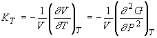
Коэффициент изотермического сжатия
(3.19)
Коэффициент адиабатического сжатия
(3.20)
Теплоемкость при постоянном объеме
(3.21)
Теплоемкость при постоянном давлении
(3.22)
Дифференциальное уравнение для линии фазового превращения 2-го рода, которое связывает скачки термодинамических коэффициентов с соответствующей производной давления по температуре, можно получить, дифференцируя соотношения, определяющие равенство первых производных химического потенциала двух фаз, которые отражают тот факт, что энтропия и объем не изменяются при непрерывном фазовом переходе.
|
|
|

(3.23)
Получим следующую систему линейных уравнений относительно дифференциалов dPи dT:
(3.24)
Используя формулы (3.18) – (3.22) можно выразить частные производные в уравнениях (3.24) через соответствующие термодинамические коэффициенты. Получим
(3.25)
Однородная система линейных уравнений (3.25) имеет ненулевое решение при условии равенства нулю определителя системы:
(3.26)
Таким образом, скачки вторых производных не являются независимыми, а связаны между собой соотношением (3.26). Решение системы уравнений (3.25) при условии (3.26) имеет вид:
(3.27)
Формулы (3.26) и (3.27) называются уравнениями Эренфеста.
В отличие от кривой фазового равновесия Клайперона-Клаудиуса, это уравнение определяет линию фазового перехода, т.к. при фазовых переходах 2-го рода не существует метастабильных состояний. Новая фаза появляется сразу во всем объеме вещества и, соответственно, не существует межфазной поверхности раздела и поверхностной энергии.
Интересно, что предположения о возможности метастабильных фазовых состояний при фазовых переходах 2-го рода приводит к выводу о том, что фазовые переходы 2-го рода вообще не возможны. Действительно, в точке непрерывного фазового перехода точка пересечения m 1 и m 2 должна быть и точкой касания (общая касательная), но в случае простого касания m 2 < m 1, как при T > T0, так и при T < T0, т.е. перехода быть не может. Следовательно нужно, чтобы точка T0 была точкой перегиба кривых m 1(T) и m 2(T), что означает

в этом случае разрывной функцией может быть только третья производная, что соответствует фазовому переходу 3-го рода.
|
|
|
Таким образом, теория Эренфеста дает связь между скачками соответствующих термодинамических коэффициентов (3.26) и определяет производную линию фазового превращения (3.27).

Однако теоретические и экспериментальные исследования показали, что теория Эренфеста обладает ограниченной областью. Оказалось, что, как правило, соответствующие термодинамические коэффициенты в точке перехода испытывают не скачок, а расходятся (т.е. стремятся к бесконечности).