В качестве простейших циклов газотурбинных установок (ГТУ) приняты: цикл с изобарным подводом теплоты и цикл с изохорным подводом теплоты. Эти циклы отличаются от соответствующих циклов ДВС процессом отвода теплоты — изохорный процесс отвода заменен изобарным. Современные ГТУ в основном работают с изобарным подводом теплоты.
Теоретический цикл ГТУ с изобарным подводом теплоты (рис. 7.14) состоит из процесса адиабатного сжатия воздуха 1 — 2 в компрессоре, процесса изобарного подвода теплоты 2—3 в камере сгорания и процесса адиабатного расширения 3—4 продуктов сгорания в соплах газовойтурбины.После преобразования кинетической энергии струи газа на рабочих лопатках и процесса отвода теплоты 4—1 от газа в окружающую среду при постоянном давлении
цикл завершается.

Рис. 7.14. Цикл ГТУ с изобарным подводом теплоты
Полезная работа в цикле равна разности между технической работой турбины и технической работой, затраченной на привод компрессора.
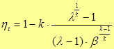
Цикл газовой турбины с изобарным подводом теплоты характеризуется степенью повышения давления в цикле
.
Можно показать, что
.
То есть термический КПД цикла ГТУ с подводом тепла при
увеличивается с увеличением степени повышения давления.
Теоретический цикл ГТУ с изохорным подводом теплоты (рис. 7.15) состоит из процесса адиабатного сжатия воздуха 1 — 2 в компрессоре, процесса изохорного подвода теплоты 2—3 в камере сгорания и процесса адиабатного расширения 3—4 продуктов сгорания в соплах газовойтурбины.После преобразования кинетической энергии струи
газа на рабочих лопатках и процесса отвода теплоты 4—1 от газа в окружающую среду при постоянном давлении
цикл завершается.
![]() |
Рис. 7.15. Цикл ГТУ с изохорным подводом теплоты
Цикл газовой турбины с изохорным подводом теплоты характеризуется степенью повышения давления при сжатии 
и степенью повышения давления при подводе теплоты
.
![]() |
Можно показать, что.
Исследование последнего выражения показывает, что термический КПД ГТУ с изохорным подводом теплоты возрастает с увеличением b и l.
Цикл ГТУ с подводом теплоты при
не получил широкого распространения из-за сложности конструкции камеры сгорания и ухудшения условий работы турбины в пульсирующем потоке продуктов сгорания.








