На рис. 4.2 представлена обобщенная структура радиально-базисной сети. В качестве радиальной функции чаще всего применяется функция Гаусса. При размещении ее центра в точке
она может быть определена в сокращенной форме как:
. (4.5)
![]() |
В этом выражении
– параметр, от значения которого зависит ширина функции. Рис. 4.2 Обобщенная структура радиальной сети RBF
Полученное решение, представляющее аппроксимирующую функцию в многомерном пространстве в виде взвешенной суммы локальных базисных радиальных функций (выражение (4.3)), может быть интерпретировано радиальной нейронной сетью, представленной на рис. 4.2, в которой
определяется зависимостью (4.5).
Это сеть с двухслойной структурой, в которой только скрытый слой выполняет нелинейное отображение, реализуемое нейронами с базисными радиальными функциями, параметры которых (центры
и коэффициенты
) уточняются в процессе обучения. Скрытый слой не содержит линейных весов, аналогичных весам сигмоидальной сети. Выходной нейрон, как правило, линеен, а его роль сводится к взвешенному суммированию сигналов, поступающих от нейронов скрытого слоя. Вес
, как и при использовании сигмоидальных функций, представляет пороговый элемент, определяющий показатель постоянного смещения функции.
|
|
|
Полученная архитектура радиальных сетей аналогична структуре многослойной сети с одним скрытым слоем. Роль скрытых нейронов в ней играют базисные радиальные функции. Однако, в отличие от сигмоидальной сети, радиальная сеть имеет фиксированную структуру с одним скрытым слоем и линейными выходными нейронами. Используемые радиальные функции скрытых нейронов могут иметь разнообразную структуру. Нелинейная радиальная функция каждого скрытого нейрона имеет свои значения параметров
, тогда как в сигмоидальной сети применяются, как правило, стандартные функции активации с одним и тем же параметром. Аргументом радиальной функции является эвклидово расстояние вектора x от центра
и
, а в сигмоидальной сети это скалярное произведение векторов
.
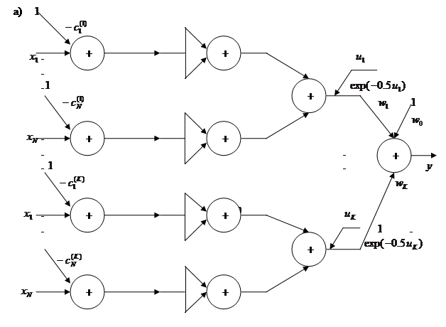
На рисунке 4.3 приведена детальная структура RBF- сети с радиальной функцией вида (4.5).
![]() |
Рис. 4.3 Детальная структура RBF- сети.

