Стереоизомеры (пространственные изомеры) – вещества, имеющие одинаковый состав и последовательность атомов, но различное расположение их в пространстве. s-Связь симметрична относительно оси, связывающей центры атомов, и при повороте фрагментов относительно друг друга энергия связи не меняется. Энергетически неравноценные формы молекул, переходящие друг в друга только за счет свободного вращения или изгиба связей, называются конформациями.
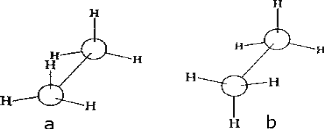
Конформация а (рис. 5.1.) называется заслоненной, конформация b – заторможенной. Возможно бесконечное количество промежуточных (скошенных) конформаций.

Рис. 5.1. Заслоненная (а) и заторможенная (b) конформации этана
Удобно изображать конформации с помощью проекций Ньюмена – взгляд вдоль связи, относительно которой происходит вращение. В заслоненной конформации атомы находятся ближе друг к другу, чем в заторможенной. Возникает сила, стремящаяся повернуть один фрагмент относительно другого – торсионное напряжение. Заторможенная конформация поэтому энергетически более выгодна, чем заслоненная. В этане энергетический барьер между конформациями составляет всего 3 ккал/моль (12 кДж/моль) (рис. 5.2).

Рис. 5.2. Конформации этана и их относительные энергии






