Весь персонал предприятия подразделяется на категории: рабочие, служащие, специалисты и руководители.
К рабочим предприятия можно отнести работников, непосредственно занятых созданием материальных ценностей или оказанием транспортных и производственных услуг.
Рабочие подразделяются на основных и вспомогательных.
Их соотношение – это аналитический показатель работы предприятия.
Коэффициент численности основных рабочих определяется по формуле:

где Твр – среднесписочная численность вспомогательных рабочих на предприятии, в цехах, на участке, чел.;
Тр – среднесписочная численность всех рабочих на предприятии, в цехе, на участке, чел.
Специалисты и руководители (директора, мастера, главные специалисты и др.) осуществляют организацию производственного процесса и руководство им.
К служащим относятся работники, которые осуществляют финансово–расчетные, снабженческо–сбытовые и другие функции (агенты, кассиры, делопроизводители, секретари, статистики и др.).
Квалификация работ определяется уровнем специальных знаний и практических навыков и характеризует степень сложности выполняемого конкретного вида работы. Соответствие способностей, физических и психических качеств какой–либо профессии означает профессиональную пригодность работника.
|
|
|
Структура кадров предприятия – это соотношение разных категорий работников в их общей численности. Для анализа структуры кадров определяют и сравнивают удельный вес каждой категории работников dpi в общей среднесписочной численности персонала предприятия Т:

где Ti – среднесписочная численность работников категории, чел.
Структура кадров может рассматриваться по признакам, например пол, возраст, уровень образования, стаж работы и т. д. анализируется она по каждому подразделению. Трудовой коллектив по численному составу все время меняется: работники увольняются, принимаются другие, такие изменения характеризуются текучестью кадров.
Состояние кадров определяется с помощь коэффициентов.
Коэффициент выбытия кадров Квк (%) – это отношение количества работников, уволенных по различным причинам за данный период Тув, к среднесписочной численности работников за тот же период Т:

Коэффициент приема кадров Кп (%) – это отношение количества работников, которые приняты на работу за данный период Т, к среднесписочной численности работников за тот же период, Т:

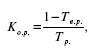
Коэффициент стабильности кадров Кс применяется при оценке уровня организации управления производством как на предприятии в отдельных подразделениях или в целом.

1 – т где Тʼ ув. – численность работников, уволившихся по собственному желанию и из–за нарушения трудовой дисциплины за отчетный период, чел.;
|
|
|
Т – среднесписочная численность работающих на предприятии в период, предшествующий отчетному, чел.;
Тп – численность вновь принятых за отчетный период работников, чел.
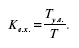
Коэффициент текучести кадров Кт.к. (%) определяется делением численности работников предприятия, выбывших или уволенных за данный период Тув, на среднесписочную численность за тот же период Т:







