Тема 8. Статистическое изучение взаимосвязи социально - экономических явлений
Различают два типа связи между различными явлениями и их признаками: функциональную или жестко детерминированную и статистическую или стохастически детерминированную с другой стороны.
Если с изменением одной из переменных вторая изменяется строго определенным образом, т.е. значению одной переменной обязательно соответствует одно или несколько точно заданных значений другой переменной, связь между ними является функциональной.
При стохастически детерминированной связи (статистической) с изменением значения одной переменной вторая может в определенных пределах принимать любые значения с некоторыми вероятностями, но ее среднее значение или иные статистические (массовые) характеристики изменяются по определенному закону, т.е. разным значениям одной переменной соответствуют разные распределения значений другой переменной.
Частным случаем статистической связи является корреляционная связь.
Корреляционная связь - это связь, где воздействие отдельных факторов проявляется только как тенденция (в среднем) при массовом наблюдении фактических данных.
Наиболее простым вариантом корреляционной зависимости является парная корреляция, т.е. зависимость между двумя признаками (результативным и факторным или между двумя факторными). Математически эту зависимость можно выразить как зависимость результативного показателя у от факторного показателя х. Связи могут быть прямые и обратные. В первом случае с увеличением признака х увеличивается и признак у, при обратной связи с увеличением признака х уменьшается признак у.
Важнейшей задачей является определение формы связи с последующим расчетом параметров уравнения, или, иначе, нахождение уравнения связи (уравнения регрессии).
Могут иметь место различные формы связи:
прямолинейная 
линейные связи являются основными и применяются также и при многофакторном анализе.
криволинейная в виде:
параболы второго порядка (или высших порядков)
параболической связью описывается взаимосвязь при которой характер связи между факторным и результативным признаком может измениться на противоположный при прохождении некоторого оптимального значения.
гиперболы
гиперболические зависимости характерны для связей, в которых результативный признак не может варьироваться неограниченно, его вариация имеет односторонний предел.
![]() |
показательной функции
Параметры для всех этих уравнений связи, как правило, определяют из системы нормальных уравнений, которые должны отвечать требованию метода наименьших квадратов (МНК):
![]() |
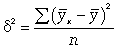
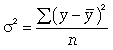
Другая важнейшая задача - измерение тесноты зависимости - для всех форм связи может быть решена при помощи вычисления эмпирического корреляционного отношения:
где -

дисперсия в ряду выровненных значений результативного показателя; -

дисперсия в ряду фактических значений у.
Для определения степени тесноты парной линейной зависимости служит линейный коэффициент корреляции r, для расчета которого можно использовать следующие формулы:
![]() |
Линейный коэффициент корреляции может принимать значения в пределах от -1 до + 1 или по модулю от 0 до 1. Чем ближе он по абсолютной величине к 1, тем теснее связь. Знак указывает направление связи: «+» - прямая зависимость, «-» имеет место при обратной зависимости.
Общий вид многофакторного уравнения регрессии имеет вид:
y = a + b1x1 +.. + bkxk
Многофакторная система требует не одного, а множества показателей тесноты связей. Основой измерения связей является матрица коэффициентов корреляции. На основе этой матрицы судят о тесноте связи факторов с результативным признаком и между собой. Не рекомендуется включать в уравнение регрессии факторы слабо связанные с результативным признаком, но тесно связанные с другими факторами. Множественный коэффициент корреляции определяется как отношение части вариации результативного признака, объясняемой за счет вариации входящих в уравнение факторов, к общей вариации результативного признака за счет всех факторов. Под вариацией понимается сумма квадратов отклонений индивидуальных значений от расчетных по уравнению регрессии (объясненная вариация) или от общей средней величины признака (общая вариация).
Для случая двух факторов коэффициент множественной детерминации вычисляется по формуле из парных коэффициентов корреляции:

Коэффициент частной детерминации фактора xm – это доля вариации у, не объясненной ранее включенными факторами. Если обозначить частный коэффициент детерминации ддя фактора xm как 

Тогда 
Основные задачи применения корреляционно-регрессионного анализа.
В соответствии с сущностью корреляционной связи ее изучение имеет две цели: 1) измерение параметров уравнения, выражающего связь средних значений зависимой переменной со значениями независимой переменной; 2) измерение тесноты связи двух (или большего числа признаков) между собой
Задачи корреляционно-регрессионного анализа:
1. Задачи выделения важнейших факторов, влияющих на результативный признак (т.е. вариацию его значений в совокупности). Эта задача решается на базе мер тесноты связи факторов с результативным признаком.
2. Задачи оценки хозяйственной деятельности по эффективности использования факторов производства. Эта задача решается путем расчета для каждой единицы совокупности тех величин результативного признака, которые были получены при средней по совокупности эффективности использования факторов и сравнивания их с фактическими результатами производства.
3. Задача прогнозирования возможных значений результативного признака при задаваемых значениях факторных признаков. Такая задача решается путем подстановки ожидаемых, или планируемых, или возможных значений факторных признаков в уравнении связи и вычисления ожидаемых значений результативного признака.
4. Задача подготовки данных, необходимых в качестве исходных для решения оптимизационных задач.
При решении каждой из названных задач нужно учитывать особенности и ограничения корреляционно-регрессионного метода. Всякий раз необходимо специально обосновать возможность причинной интерпретации уравнения как объясняющего связь между вариацией фактора и результата. Трудно обеспечить раздельную оценку влияния каждого из факторов.


