Схема равновозможных исходов
Задачи к 1.1
1. Фирма по продаже автомобилей рекламирует две новые модели машин по радио и телевидению. Компанию интересует эффективность рекламы, в частности, оценка того, что случайно выбранный человек имеет представление хотя бы об одной из двух рекламируемых моделей. Определим событие А как событие, состоящее в том, что случайно выбранный человек слышал рекламу по радио, а событие В – как событие, состоящее в том, что случайно выбранный человек знает о новых моделях автомобилей из рекламы телевидения. Определить в этом контексте А È В, А Ç В, В \ А, Ā.
2. Брокерская фирма имеет дело с акциями и облигациями. Для анализа деятельности фирме полезно оценить вероятность того, что лицо, интересующее фирму, является держателем акций (событие А) или облигаций (событие В). Определите в этом контексте А Ç В, А È В, A \ B, Ā.
3. С помощью операций запишите события, состоящие в том, что из событий A, B и C а) все три произошли; б) B произошло, а A и C нет; в) по крайней мере одно произошло; г) ни одно не произошло.
|
|
|
4. В ходе исследования потребительского рынка проводили опрос потребителей. В частности, один из вопросов касался сорта зубной пасты, которую использует потребитель. Если известно, что 14% населения использует сорт А, а 9% - сорт В, то чему равна вероятность того, что случайно выбранный человек будет использовать одну из двух паст. (Предполагается, что в данный момент человек использует только одну пасту).
5. В фирме 550 работников, 380 из них имеют высшее образование, а 412 – среднее специальное, 357 сотрудников имеют и высшее и среднее специальное образование. Чему равна вероятность того, что случайно выбранный работник имеет или среднее специальное, или высшее образование, или и то и другое.
6. Вероятность правильного оформления счёта на предприятии составляет 0,95. Во время аудиторской проверки были взяты два счёта. Какова вероятность того, что только один из них оформлен правильно?
7. Предприятие обеспечивает регулярный выпуск продукции при безотказной поставке комплектующих от двух смежников. Вероятность отказа в поставке продукции от первого из смежников равна 0,05, от второго – 0,08. Найти вероятность сбоя в работе предприятия.
Определение. События
...образуют полную систему {или группу) событий, если 1)
= W; 2)
= Æ для i¹ j
Пусть события
образуют полную систему. Рассмотрим событие А =
, тогда будем говорить, что событию А благоприятствуют k из п событий
.
Теорема. Пусть
образуют полную систему событий и равновероятны (или равновозможны), и пусть событию А благоприятствуют k из этих п событий, тогда
|
|
|
P (A) = k/п.
Доказательство. Так как
образуют полную систему событий, то
= WТогда, по аксиомам 3 и 2 получаем:

По условию теоремы P (
) — одна и та же для всех i, что нам дает P (
) = 1 /n для любого i. Поскольку А =
, то по аксиоме 3 получаем P (A) = k/п.
Пример. В урне имеются k белых и n — k красных шаров. Извлекается из урны 1 шар. Какова вероятность того, что этот шар белый? Все исходы равновероятны, их всего п:
. Событию А = { извлеченный шар белый } благоприятствуют k из n исходов, поэтому из теоремы следует ответ:
.
Для облегчения задачи подсчета числа исходов в классической схеме приведем некоторые комбинаторные формулы.
Пусть имеется n различных объектов, например, шары, занумерованные цифрами 1,2,... n. Такой набор называется генеральной совокупностью объема n. Выберем k элементов из генеральной совокупности объема n. Имеются 2 способа выборки: выборка без возвращения и выборка с возвращением.
Обозначим
- число различных выборок без возвращения объема k из генеральной совокупности объема n, которые различаются по составу элементов, а при одинаковом составе — порядком следования элементов в выборке,
- число различных выборок без возвращения объема k из генеральной совокупности объема n, которые различаются по составу элементов.
называется числом размещений из n элементов по k, а —
числом сочетаний из n элементов по k.
Число
для произвольных п и k определяется так: выбираем сначала любой из п элементов, затем выбираем любой из п — 1 оставшихся элементов, и т.д. Поэтому
.
При k = п число размещений совпадает с числом перестановок из п элементов, которое обозначается:
P n = n (n -1) × × × 2 × 1= n!
![]() |
Заметим, что сочетание от размещения отличается только тем, что входящие в него элементы неупорядочены. Поскольку k элементов можно упорядочить k!способами, то получаем, что
Обозначим
число различных выборок с возвращением объема k из генеральной совокупности объема n, которые различаются по составу элементов и порядком их следования. Легко убедиться в том, что
![]() |
Отметим также, что число различных выборок с возвращением объема k из генеральной совокупности объема n, которые различаются только по составу элементов определяется как
.
Пример 1. Игральную кость бросаем дважды. Нас интересует вероятность события A = { сумма очков равна 6}. Общее число исходов равно
. Число исходов, благоприятствующие к событию А подсчитывается элементарно: (1,5), (5,1), (2,4), (4,2) и (3,3), т.е. их всего 5. Тогда Р (A) = 5/36.
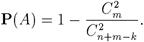
Пример 2. Технический контроль проверяет изделия из партии, состоящей из т изделий первого сорта и n изделий второго сорта. Проверка первых k (k£ п) изделий, выбранных из партии наугад, показала, что все они второго сорта. Найдем вероятность события А = {среди следующих двух наугад выбранных изделий из числа непроверенных по меньшей мере одно изделие окажется второго сорта }. Сначала найдем вероятность противоположного события
= { среди следующих двух наугад выбранных изделий из числа непроверенных нет ни одного изделия второго сорта }. Общее число исходов выбора двух изделий из числа непроверенных равно С2n+m-k, поскольку после первого контроля непроверенных изделий осталось п + т — k.
![]() |
Число исходов, благоприятствующих событию Ā равно C2 m, поскольку оба изделия первого сорта. Тогда Р (Ā) = C2 m / C2 m+n-k, следовательно
Пример 3. Телефонный номер состоит из шести цифр. Найдем вероятность события А = { все цифры в номере различны }. Число всех шестизначных телефонных номеров, включая 00-00-00 и 99-99-99, равно В610 = 106. Число же номеров с различными цифрами равно А610 = 10!/(10-6)!=10!/4!. Теперь найдем искомую вероятность Р (А) = 10!/4!×106 = 0,1512.









