Волновое уравнение. Колебательные процессы всегда описываются решениями дифференциальных уравнений второго порядка

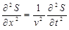
Колебательные процессы всегда описываются решениями дифференциальных уравнений второго порядка. Найдем дифференциальное уравнение, решения которого описывают распространение синусоидальной волны, задаваемой формулой (4.57). Найдем вторые производные S по t и x.

;

.

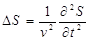
Отсюда следует равенство

, (4.60)

которое является искомым одномерным волновым уравнением. Для случая распространения волны в трехмерном пространстве можем обобщить уравнение (4.60)

. (4.61)

Это уравнение можно записать с использованием оператора Лапласа:

. (4.62)

Для записи решения уравнения (4.61), соответствующего плоской волне с произвольным направлением распространения, введем волновой вектор, по модулю равный волновому числу k и направленный вдоль луча в рассматриваемой точке М среды. Волновой вектор плоской синусоидальной волны не зависит от выбора точки М, и уравнение такой волны можно записать в форме

, (4.63)

где — радиус-вектор точки М, а α - начальная фаза колебаний в начале координат, т. е. в точке =0. Отметим, что скалярное произведение

,

где rk – проекция радиус-вектора на направление волнового вектора. Очевидно, что проекции всех радиус-векторов, задающих точки плоскости, перпендикулярной волновому вектору, равны между собой и фаза колебаний во всех точках плоскости одинакова. Плоскости, перпендикулярные вектору , являются волновыми поверхностями и формула (4.63) действительно описывает плоскую волну, направление распространения которой задает вектор .

Проверим, действительно ли уравнение (4.63) есть решение уравнения (4.61). Для этого, используя свойства скалярного произведения векторов и , запишем выражение (4.63) в виде

, (4.63)

где kx, ky, kz – декартовские составляющие вектора . Вторые производные S по координатам имеют вид

;

;

.

Подстановка этих выражений в выражение (4.61) превращает уравнение в тождество

.

Остается отметить, что решением уравнения (4.61) должна являться любая функция вида

. (4.63)

В этом можно легко убедиться подстановкой функции в уравнение. Таким образом, решения уравнения (4.61) соответствуют распространению не только синусоидальных волн, но и модулированных волн, переносящих информацию.





Подборка статей по вашей теме: