Тема 0: Введение
Симферополь, 2004
ПО ДИСЦИПЛИНЕ Дискретная математика
КОНСПЕКТЫ ЛЕКЦИЙ
для студентов дневной (заочной) формы обучения
направления 0802 Прикладная математика,
специальностей 6.080200 Информатика,
6.080200 Прикладная информатика
| Составитель:доктор физико-математических наук, профессор Донской В.И. | |
| Рассмотрены и рекомендованы на заседании кафедры ……………………………. от «__» _____200_г. (протокол №_) |
Лекция 1. Предмет, мета та задачі дискретної математики
1) Непрерывность и дискретность [1,2,3,5]
2) Конструктивные объекты и задача синтеза. Ведение в теорию множеств и отношений [1,2,3,4,5]
Литература:
1. Яблонский С.В. Введение в дискретную математику. М.:Высш. шк., 2001. – 384 с.
2. Гаврилов Г. П., Сапоженко А. А. Сборник задач по дискретной математике. М.: Наука, 1977. – 386 с.
3. Гиндикин С. Г. Алгебра логики в задачах. М.: Наука, 1972.- 288 с.
4. Грэхем Р., Кнут Д., Паташник О. Конкретная математика (основание информатики). М.: Мир, 1998. – 703 с.
5. Донской В. И. Дискретная математика. – Симферополь: Сонат, 2000. –356 с.
Лекция 1. Предмет, мета та задачі дискретної математики
1) Основные понятия теории булевых функций [1,2,3,5]
Вектор
, координаты которого принимают значения из множества {0,1}, называется двоичным (булевым) вектором длины n.
Множество всех булевых векторов длины n называется единичным n-мерным кубом и обозначается Bn. Весом или нормой вектора
называется число ||
|| =
.
Множество
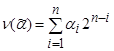
всех вершин куба, вес которых равен k, называется k -м слоем куба Bn. Число
называется номером вектора
.
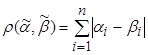
Число
— называется расстоянием Хемминга.
Наборы (векторы)
и
называются соседними, если
, и противоположными, если
.
Говорят, что набор
предшествует набору
(обозначение: 

), если для всех i =1 ,...,n ai
bi. Если при этом 
, то говорят, что
строго предшествует
(обозначение
). Если выполняется условие (

) или (

), то
и
называют сравнимыми наборами, иначе — несравнимыми. Последовательность вершин куба Bn
называется цепью, соединяющей
и
, если
для i= 1 ,..,k, все вершины в последовательности различны. Число k называется длиной цепи. Цепь называется возрастающей, если
для i= 1 ,...k. Если
, то цепь называют циклом.
Множество
всех наборов (a 1 ,...,an) из
, у которых aij =
.
(j= 1 ,...,k), называется гранью куба Bn. Множество номеров перeменных I= { i 1 ,...,ik } называется направлением грани, число k — рангом грани, (n-k) — размерностью грани. Интервалом куба Bn называется множество вида
. Число
называется размерностью интервала.
2) Реализация булевых функций формулами [1,2,3,5]
Функция f (
), определенная на множестве Bn и принимающая значения из множества {0,1}, называется функцией алгебры логики или булевой функцией. Множество всех булевых функций обозначается P 2.
Функциональные символы: & - конъюнкция,
- сумма по модулю 2,
- импликация, V - дизъюнкция, ~ - эквивалентность, / - штрих Шеффера,
- стрелка Пирса называются логическими связками.
Элементарные булевы функции:
- одной переменной:
| X | 1 |
| 0 - тождественный ноль 1 - тождественная единица | ||
| x - тождественная функция | |||||
- инверсия (отрицание)
|
- двух переменных:
| x | y | x & y | x V y | x y
| x~y | x y
| x/y | x y
|
Функция
из P 2 зависит существенным образом от аргумента
, если существуют такие значения
переменных
, что
. В этом случае переменная
называется существенной. Если
не является существенной переменной, то она называется фиктивной.
Формулой над множеством функциональных символов Ф называется вся-кое (и только такое) выражение вида: 1)
и
, где
– нуль-местный, а
— n -местный функциональные символы и
– символы переменных; 2)
, где
— s -местный функциональный символ и
— либо формула над Ф, либо символ переменной.
Формула называется тождественно истинной (тождественно ложной), если реализуемая ею функция равна 1 (соответственно 0).
3) Основные тождества [1,2,3,5]
x* y=y*x — коммутативность любой операции * из {&,V,
,~,/,
}
(x * y) * z = x * (y * z) — ассоциативность любой операции * из {&,V,
,~}
=
и
=
— тождества де Моргана
x V (x & y) = x и x & (x V y) = x — правила поглощения
и
дистрибутивность:
x &(y V z) = (x & y) V (x & z) — конъюнкции относительно дизъюнкции
x V (y & z) = (x V y) & (x V z) — дизъюнкции относительно конъюнкции
x & (y
z) =(x & y)
(x & z) — конъюнкции относительно сложения по mod 2
0 = x &
= x &0 = x
x, x =
= x V x = x & x = x &1 = x V 0
1 = x V
= x V1 = x~ x,
= x
1, x~ y= (x
y)
1
Литература:
1. Яблонский С.В. Введение в дискретную математику. М.:Высш. шк., 2001. – 384 с.
2. Гаврилов Г. П., Сапоженко А. А. Сборник задач по дискретной математике. М.: Наука, 1977. – 386 с.
3. Гиндикин С. Г. Алгебра логики в задачах. М.: Наука, 1972.- 288 с.
4. Грэхем Р., Кнут Д., Паташник О. Конкретная математика (основание информатики). М.: Мир, 1998. – 703 с.
5. Донской В. И. Дискретная математика. – Симферополь: Сонат, 2000. –356 с.
- инверсия (отрицание)






