
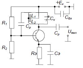
Транзисторный диапазонный автогенератор собран по трёхточечной схеме с автотрансформаторной ОС, с комбинированным напряжением
смещения на базе: от источника ЕК через делитель R1R2 и автоматическое
смещение за счет IК0, создаваемое на резисторе RЭ. Питание коллекторной
цепи последовательное через колебательный контур. Включение КЦ
в нагрузку не полное, что уменьшает влияние нагрузки на частоту АГ.


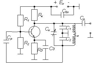
Транзисторный диапазонный АГ собран по трёхточечной схеме с ёмкостной ОС, с комбинированным напряжением смещения на базе, с параллельной схемой питания коллектора, неполным включением контура в цепь нагрузки.







