Диаграмма смещения



- диаграмма смещения



При построении АГ на трехполюсном АЭ, например транзисторе, энергия колебаний передается из выходной цепи АЭ в колебательную систему при условии, что управляющее током коллектора колебательное напряжение uБЭ(t) имеет определенный фазовый сдвиг относительно напряжения uKЭ(t) между коллектором и эмиттером.

Колебательная система представлена схемой, содержащей комплексные сопротивления
. Передача напряжения из выходной цепи транзистора на его вход обеспечивается цепью обратной связи, состоящей из элементов Z2(w) и Z3(w).
Предположим, как и ранее, что переменные составляющие колебательных напряжений uKЭ(t) и uБЭ(t) являются почти гармоническими, а связь между
определяется статической характеристикой
.Входное сопротивление транзистора будем считать большим по сравнению с | Z2(w) |, т.е. моделью транзистора считаем генератор тока, управляемого напряжением.

Пусть
— комплексные амплитуды первых гармоник напряжений uKЭ(t) и uБЭ(t);
— комплексная амплитуда первой гармоники тока коллектора;
|
|
|
-средняя крутизна.


Коэффициент обратной связи: 

Управляющее сопротивление: 








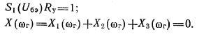
Уравнения баланса амплитуд и баланса фаз:


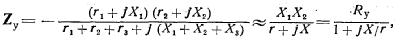
Автогенератор гармонических колебаний с хорошей стабильностью частоты должен иметь КЦ с малыми потерями, поэтому у сопротивлений:



вещественные части малы по сравнению с мнимыми:



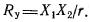
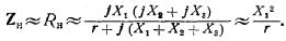
С учетом этого управляющее сопротивление:

где 


Пусть
,
,
, тогда

При S1>0 вещественное управляющее сопротивление Ry должно быть положительным на частоте колебаний, которая определяется из
. Поэтому при r>0 реактивные сопротивления X1 и Х2 должны иметь один знак, а Х3— противоположный. Если Х1>0 и Х 2>0, т. е. представляют индуктивности, то Хз<0 и представляет емкость. В этом случае получается индуктивная трехточечная схема АГ.

При Х1<0 и Х2<0, Х3>0 —получается емкостная трехточечная схема АГ.

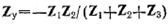
Для удобства расчетов получим приближенные выражения для k и ZH. При малых потерях из
имеем
,
где используется Х2+Х3= — Х1.







