Клистроны относятся к классу электронно-лучевых приборов СВЧ с динамическим управлением электронным потоком. Схема устройства и включения двухрезонаторного пролетного (прямопролетного) клистрона.

1—катод; 2 — ускоряющий электрод; 3— коллектор; 4, 5 — входной и выходной резонаторы; 6 — труба дрейфа; 7—электронный поток.
Первый резонатор клистрона служит для модуляции электронного пучка по скорости и называется иногда группирователем. Второй резонатор служит для отбора высокочастотной энергии от пучка, имеющего модуляцию по плотности. Металлическая труба, находящаяся между двумя резонаторами, экранирует пространство дрейфа (пространство группировки) от внешних постоянных и переменных электрических полей. На рабочей частоте труба дрейфа обладает свойствами запредельного волновода. Именно в этой трубе происходит преобразование скоростной модуляции в модуляцию электронного потока по плотности. От действия магнитных полей при рассмотрении клистронов можно отвлечься, за исключением продольного постоянного магнитного поля, применяемого для фокусировки электронного потока.
|
|
|
Смодулированный электронный поток, выходящий из катода, поступает в первый резонатор, между сетками которого имеется продольное электрическое поле сверхвысокой частоты. Это поле производит скоростную модуляцию электронного потока. Двигаясь далее в пространстве дрейфа, электроны постепенно образуют сгустки. Эти сгустки поступают во второй резонатор с частотой, равной частоте входного сигнала, и наводят ток, протекающий по внутренней поверхности стенок второго резонатора. Появляющееся между сетками резонатора электрическое поле тормозит электроны. Кинетическая энергия электронов, полученная ими от источника ускоряющего напряжения, преобразуется в энергию СВЧ колебаний и поступает через вывод энергии в выходную нагрузку. Что касается электронов, прошедших через второй зазор, то они оседают на коллекторе и рассеивают на нем в виде тепла оставшуюся кинетическую энергию.
Основными отличиями клистрона от «обычных» низкочастотных ламп являются:
1) отказ от электростатического управления электронным потоком и использование динамического управления, основанного на скоростной модуляции и группировке электронов; время пролета электронов в пространстве дрейфа полезно используется при работе клистрона;
2) использование принципа наведения тока в выходном зазоре и разделение функций выходного зазора и коллектора электронов;
3) применение полых резонаторов, органически связанных с входным и выходным зазорами и более всего отвечающих требованиям диапазона СВЧ;
|
|
|
4) выделение катода из состава высокочастотной цепи и расположение ускоряющего промежутка перед высокочастотным управляющим зазором.
Как и всякий усилитель, клистрон может быть преобразован в автогенератор путем введения положительной обратной связи между выходным и входным резонаторами. Далее, если выходной резонатор усилительного клистрона настроить на частоту, кратную частоте входного сигнала, то усилитель преобразуется в умножитель частоты.
Другим вариантом клистронов, нашедшим особенно широкое применение, является отражательный клистрон, используемый главным образом в качестве СВЧ генератора малой мощности. В этом клистроне, предложенном впервые Н. Д. Девятковым, Е. Н. Данильцевым и И. В. Пискуновым и почти одновременно В. Ф. Коваленко в 1940 г., используется только один полый резонатор, через который дважды проходит один и тот же электронный поток. Возвращение электронов в резонатор обеспечивается специальным электродом— отражателем, находящимся под отрицательным потенциалом по отношению к катоду.
Общим признаком всех клистронов является применение скоростной модуляции и последующее преобразование ее в модуляцию электронного потока по плотности.
На рисунке 6 представлена идеализированная схема двухрезонаторного клистрона. Входной и выходной зазоры выполнены в виде двух пар идеальных плоских сеток, прозрачных для электронов и непрозрачных для электрического поля. Расстояние между сетками равно соответственно dx и d2. Электроны ускоряются постоянным напряжением Uо и двигаются далее по инерции, — все сетки по постоянному току соединены между собою. Модуляция по скорости в первом зазоре производится высокочастотным напряжением, амплитуду которого U1 будем полагать много меньшей постоянного напряжения U0.
Обозначим через tt момент времени, в который рассматриваемый электрон проходит центр первого зазора В дальнейшем индексом 1 будем обозначать все величины, относящиеся к первому зазору (группирователю). Соответственно индексом 2 будем обозначать величины, характеризующие состояние пучка и поля во втором зазоре.
Таким образом, мгновенное значение модулирующего напряжения на первом зазоре может быть записано в виде

Скорость электронов v на выходе из первого зазора определяется уравнениями скоростной модуляции.


При принятых здесь обозначениях имеем:



Через M1 обозначен коэффициент связи электронного пучка с полем первого зазора, определяемый согласно уравнению

через угол пролета Θ1 в первом зазоре в виде


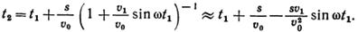
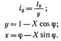
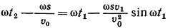
Отвлечемся первоначально от действия пространственного заряда пучка и будем считать, что движение электронов в трубе дрейфа является чисто инерциальным. Тогда электрон, прошедший центр первого зазора в момент t1, входит во второй зазор в момент времени t2, равный

где s — длина пространства дрейфа между центрами первого и второго резонаторов.
Преобразуем уравнение
, имея в виду, что величина u0много меньше постоянной скорости v0. Вынося во втором члене уравнения множитель s/u0 и раскладывая второй множитель в ряд по малому параметру, получаем:

Умножим обе части полученного уравнения на угловую частоту сигнала w. Тогда, опуская в дальнейшем знак приближенного равенства, можно записать:

Обозначим для сокращения записи:

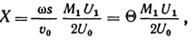
Безразмерная величина X, называемая параметром группировки, играет важную роль в теории клистронов и найдет широкое применение в дальнейшем изложении. Выражение
можно переписать с помощью
в виде:

где Θ— угол пролета в пространстве дрейфа для электрона, не изменившего своей скорости в первом резонаторе. Величина Θ равна

Таким образом, параметр группировки X пропорционален углу пролета в пространстве дрейфа и отношению эффективного модулирующего напряжения на первом зазоре к ускоряющему напряжению клистрона.
|
|
|
Используя обозначения
и
, можно переписать полученную выше зависимость
в виде

На этом уравнении, определяющем фазу прибытия электрона во второй зазор, следует остановиться подробнее. При X = 0, т. е. в отсутствие высокочастотного сигнала на первом зазоре, имеем:
.Фаза прибытия электронов во второй зазор линейно связана с фазой прохождения теми же электронами через первый зазор. Группировка электронов при этом отсутствует. Если U1 ≠ 0и М1≠ 0, то при конечной величине в параметр X отличен от нуля. Зависимость фазы прибытия во второй зазор от фазы прохождения через первый зазор согласно уравнению
перестает быть линейной. Это означает, что происходит периодическое уплотнение или группировка электронного потока.
График, построенный по уравнению
для трех значений параметра группировки X.

Чем больше величина X, тем сильнее график фазы прибытия отклоняется от прямой линии. Обращает на себя внимание факт, что при определенной величине параметра X возможна неоднозначность зависимости t1 = f(t2).
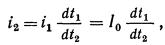
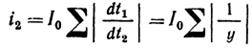
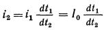
При идеальных сетках в обоих зазорах оседанием электронов на сетках можно пренебречь. Попаданием электронов на стенки трубы дрейфа также пренебрежем, считая, что на пучок наложено бесконечно большое постоянное продольное магнитное поле. Таким образом, можно считать, что средний конвекционный ток пучка одинаков в любом сечении. Применим закон сохранения заряда:

где i1 и i2 — соответственно мгновенные значения конвекционного тока пучка в центре первого и второго зазоров.
Конвекционный ток, поступающий во второй резонатор, оказывается равным

так как модуляция пучка по плотности в центре первого зазора еще отсутствует и i1 = I0.
Следовательно, для определения мгновенного конвекционного тока достаточно найти производную 
Из уравнения

можно получить

Подставляя это выражение в уравнение
, имеем:

Для удобства примем:



Возможны три типичных случая, определяемых величиной параметра группировки X. При X < 1, ток i2 = f(t2) имеет конечную величину.
|
|
|

Если X = 1, то ток i2 = f(t2) имеет острый пик уходящий в бесконечность.

При X ≥1, с физической точки зрения этот случай соответствует одновременному прохождению через выходной зазор нескольких групп электронов, вышедших из группирователя в разные моменты времени t1. Таким образом, имеет место перегон одних групп электронов другими группами и последующее наложение нескольких групп в выходном зазоре. Для определения конвекционного тока в выходном зазоре в режиме перегона необходимо суммировать токи, созданные каждой из накладывающихся электронных групп. Поскольку направление движения электронов в зазоре не изменяется, суммирование значений — следует производить по абсолютной величине. Т.е. получим


Пусть в выходной зазор усилительного, умножительного или генераторного клистрона поступает электронный поток, переменная составляющая которого описывается уравнениями


Найдем мощность, выделяющуюся в нагрузке, соединенной с зазором, и к. п. д. клистрона.
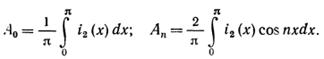
Ввиду несинусоидального характера конвекционного тока необходимо представить его в виде гармонического ряда Фурье. Поскольку выходной зазор клистрона является частью высокодобротного полого резонатора, достаточно рассмотреть лишь одну из гармоник наведенного тока, близкую к частоте, на которую настроен выходной резонатор. Конечная протяженность выходного зазора требует учета коэффициента взаимодействия зазора с пучком.
Конвекционный ток пучка клистрона является четной функций времени (переменной х), поэтому при разложении в ряд Фурье достаточно ограничиться рассмотрением косинусоидальных членов:


Из уравнения
, производя дифференцирование, имеем

Подставляем уравнения
и
в выражение постоянной составляющей ряда Фурье:

Как и следовало ожидать, при принятых допущениях постоянная составляющая разложения равна постоянному конвекционному току пучка, входящему в первый резонатор клистрона.
Переходим к вычислению коэффициентов А n.

Полученный интеграл не выражается в элементарных функциях, но имеет вид, известный в теории бесселевых функций. Сравнивая полученное выражение с интегральной записью функции Бесселя первого рода, нетрудно получить:


Окончательно разложение мгновенного конвекционного тока клистрона в ряд Фурье имеет вид

Таким образом, амплитуда n-й гармоники конвекционного электронного тока, поступающего во второй резонатор, равна

Амплитуда тока, наведенного в выходном резонаторе, равна амплитуде конвекционного тока I 2п, умноженной на коэффициент взаимодействия пучка с зазором при частоте данной гармоники. Обозначим этот коэффициент через М2п. Мощность, отдаваемая электронным пучком в выходном резонаторе на n-й гармонике, может быть теперь определена по обычным электротехническим соотношениям в виде:

где U2n — амплитуда напряжения п-й гармоники на выходном зазоре; ψ — угол сдвига между наведенным током и напряжением, созданным в зазоре за счет протекания наведенного тока по стенкам резонатора.
Подставляя выражение конвекционного тока
в
, получаем:

Мощность постоянного тока, подведенная к ускоряющему зазору (электронной пушке) клистрона, равна Р0 = I0U0. При отсутствии высокочастотного сигнала вся мощность Р0 рассеивается на коллекторе, если последний находится под тем же постоянным напряжением U0.
Будем называть электронным к. п. д. отношение мощности Р2n отданной электронным потоком СВЧ полю в выходном резонаторе на п-й гармонике, к подведенной мощности Р0. Тогда

Рассмотрим условия, при которых достигается максимальный электронный к. п. д. клистрона. Сомножители, входящие в уравнение к.п.д., можно считать взаимно независимыми.
Максимальное значение cosψ равно единице. С физической точки зрения этот режим (ψ = 0) соответствует прохождению электронных сгустков в моменты максимального тормозящего поля в выходном зазоре клистрона.
Величина M2nU2n, представляет собой амплитуду напряжения на эквивалентном выходном зазоре, имеющем нулевую протяженность и находящемся в центре реального зазора. Амплитуда U2n зависит по закону Ома от амплитуды наведенного тока, а также от полной проводимости нагруженного резонатора. Поэтому на первый взгляд кажется, что при уменьшении суммарной проводимости резонатора и нагрузки, трансформированной к сечению выходного зазора, величина U2n и, следовательно, отношение M2nU2n/U0 могут принимать сколь угодно большие значения. Однако простое физическое рассуждение показывает существование верхнего предела. Для того чтобы электроны не отбрасывались из зазора назад, напряжение на бесконечно узком зазоре не должно превышать величины U0 или, точнее, величины (U0— U1) , где U1 —амплитуда колебаний на первом зазоре. При этом не учитывается разброс скоростей электронов, обусловленный скоростной модуляцией в первом зазоре, т. е. снова полагается, что v1<< v0. Таким образом, можно считать, что максимальная величина отношения M2nU2/U0 равна единице.
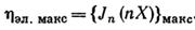
Остается рассмотреть еще один множитель — величину Jn(nX). На рисунке построены графики бесселевых функций Jn(nX) для трех значений п.

Из графиков видно, что для каждого значения п существует определенная величина Хмакс, обеспечивающая максимум функции Jn(nX).
Подставляя в уравнение 

получаем выражение максимального электронного к. п. д. двухрезонаторного клистрона на n-й гармонике в виде:

Максимальная величина электронного к. п. д. двухрезонаторного клистрона на первой гармонике в рамках рассмотренной теории оказывается равной 58,2%. Оптимальная величина параметра группировки Хмакс для любых номеров гармоник превышает единицу и при п = 1 равна 1,84. Таким образом, оптимальная форма волны конвекционного тока в двухрезонаторном клистроне должна содержать два пика.
Если уменьшать параметр X, например, уменьшая амплитуду входного сигнала U1,или увеличивая ускоряющее напряжение U0, то электронный поток оказывается недогруппированным. К. п. д. и выходная мощность при этом падают. Уменьшение к. п. д. наступает также при перегруппировке пучка, когда значение параметра X превышает оптимальную величину.
Реально достижимая величина электронного к. п. д. двухрезонаторных клистронов оказывается ниже, чем следует из рассмотренных расчетов, за счет оседания части электронного потока на сетках резонаторов. Полный к. п. д. клистрона, как и любого другого прибора, с учетом высокочастотных потерь в колебательной системе определяется произведением электронного к. п. д. и к. п. д. резонаторной системы ηрез

Величина ηрез зависит от отношения собственной и нагруженной добротностей выходного резонатора клистрона и может иметь порядок 60—80%. С учетом этого полный к. п. д. типичных двухрезонаторных клистронов не превышает обычно 25—30%.
Устройство двухрезонаторного клистронного генератора схематически показано на рисунке.

Основным отличием этой схемы от клистронного усилителя является присутствие элементов обратной связи.
Присутствие обратной связи приводит к тому, что фаза колебаний в выходном резонаторе должна находиться в определенном соотношении с фазой колебаний во входном резонаторе. Это и определяет основное фазовое условие самовозбуждения двухрезонаторного клистрона.

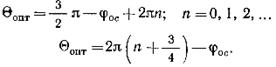
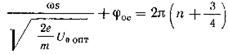
На рисунке построены графики напряжений на входном и выходном зазорах клистрона; через φoc обозначен сдвиг фаз, определяемый устройством обратной связи. Электронные сгустки образуются относительно электронов, прошедших центр первого зазора в момент перехода поля от тормозящего к ускоряющему. Для отдачи максимальной энергии сгустки должны проходить выходной зазор в момент максимального тормозящего поля. Из рисунка видно, что оптимальный угол пролета в пространстве дрейфа должен составлять

С другой стороны, угол дрейфа согласно принятым выше обозначениям равен

Таким образом, получаем:

Это уравнение при фиксир ванной величине п приводится к знакомому виду λ2U0 = const. Через U0 опт обозначено оптимальное анодное (ускоряющее) напряжение, при котором сгустки попадают в максимальное тормозящее поле выходного зазора; генерируемая мощность проходит при этом через максимум.
Таким образом, при изменении напряжения U0 должен наблюдаться ряд дискретных зон генерации, соответствующих целочисленным значениям п. В промежутках между зонами генерируемая мощность падает до нуля. Электронные сгустки попадают в этом случае в выходной зазор клистрона в моменты ускоряющего высокочастотного поля.
Номер зоны генерации п тем выше, чем больше время пролета электронных сгустков в трубе дрейфа. Зона генерации п = 0 является крайней со стороны высоких ускоряющих напряжений.

Особенностью двух резонаторного клистрона является существование двух видов колебаний резонаторной системы с близко расположенными резонансными частотами w01 и w02. В самом деле, всякая система, состоящая из N связанных контуров, имеет в общем случае N видов колебаний при условии, что каждый контур (резонатор) возбуждается только на одном виде колебаний. При идентичности резонаторов эти виды колебаний отличаются фазой поля в каждом из резонаторов. Поэтому уравнение

фактически распадается на два уравнения, имеющих одинаковую форму, но отличающихся друг от друга величиной резонансной частоты w01 или w02. Области (зоны) генерации двухрезонаторного клистрона оказываются в общем случае двойными, т. е. для каждого значения п существуют два оптимальных значения ускоряющего напряжения.
В пределах каждой двойной зоны происходит изменение частоты — электронная настройка. С физической точки зрения электронная настройка клистронного автогенератора объясняется изменением фазы наведенного тока в выходном зазоре при изменении ускоряющего напряжения U0. Не останавливаясь на расчетах, укажем лишь, что величина электронной настройки двухрезонаторных клистронов невелика. Так, при частоте 3 Ггц (X = 10 см) типичные клистроны имеют диапазон электронной настройки порядка нескольких мегагерц. Изменение частоты обычно не превышает десятка килогерц на один вольт ускоряющего напряжения.
Существенным недостатком электронной настройки в двухрезонаторных клистронах является потребление значительной мощности от источника напряжения, с помощью которого может производиться изменение частоты. Большого практического значения этот тип электронной настройки не имеет.
Максимальная выходная мощность и полный к. п. д. двухрезонаторных генераторов имеют такой же порядок, что и в случае двухрезонаторных усилителей. Поэтому использовать двухрезонаторные клистроны для получения весьма высокой мощности оказывается нецелесообразным в сравнении, например, с многорезонаторными клистронами, магнетронами и некоторыми другими приборами, имеющими более высокий к. п. д. Двухрезонаторные клистроны ввиду сравнительной сложности их конструкции и настройки не могут конкурировать и с отражательными клистронами в качестве измерительного генератора или гетеродина. Тем не менее, двухрезонаторные клистронные генераторы удается использовать в качестве генераторов накачки для параметрических усилителей, а также в роли передатчиков радиорелейных и допплеровских систем с выходной мощностью порядка единиц или десятков ватт. Достоинствами двухрезонаторных клистронов являются сравнительно высокая долговременная стабильность частоты, низкий уровень шумов вблизи генерируемой частоты, а также повышенный уровень мощности.






