Термин термистор образовался в результате соединения двух слов: тепловой и резистор. Это название дано металл-оксидным детекторам, имеющим форму капель, стержней, цилиндров, прямоугольных пластин и толстых пленок. Термисторы относятся к классу датчиков абсолютной температуры, показания которых соответствуют абсолютной температурной шкале. Все термисторы делятся на две категории: с отрицательным температурным коэффициентом (ОТК) и положительным температурным коэффициентом (ПТК) сопротивления. Для проведения прецизионных измерений используются термисторы только с ОТК.
Термисторы с отрицательным температурным коэффициентом сопротивления
Обычные металоксидные термисторы обладают ОТК. Это значит, что при увеличении температуры их сопротивление падает. Сопротивление термисторов с ОТК, также как и любых других резисторов, определяется их физическими размерами и удельным сопротивлением материала. Зависимость между величиной сопротивления и температурой является сильно нелинейной.
|
|
|
При проведении прецизионных измерений или при работе в широком температурном диапазоне нельзя напрямую использовать характеристики термисторов, приведенные в документации на них, поскольку типовые допуски на номинальные значения серийно выпускаемых изделий при температуре 25°С составляют порядка ±20%. Поэтому для достижения высокой точности измерений термисторы необходимо индивидуально калибровать в широком температурном диапазоне. Правда, существуют и прецизионные термисторы, характеристики которых в заводских условиях подгоняются методом шлифовки до требуемых размеров. Этот процесс проводится под непрерывным контролем за номинальными значениями сопротивлений при заданной температуре. Однако такая процедура настройки термисторов приводит к значительному повышению их стоимости. Поэтому на практике чаще применяется метод индивидуальной калибровки термисторов. В процессе калибровки измеряется сопротивление термистора при помещении его в среду точно известной температурой (для этих целей часто применяется камера с мешалкой, в которую может быть залита вода, но чаще минеральное масло или специальный состав, например, Flourent®). Если требуется многоточечная калибровка, эта процедура выполняется при разных температурах. Естественно, что качество проведенной калибровки сильно зависит от точности эталонного термометра. Для определения сопротивления термистор включается в измерительную цепь, по изменению тока в которой и судят о величине сопротивления. В зависимости от заданного уровня точности и стоимости калибровка термистора может проводиться на основе одной из известных аппроксимационных моделей.
|
|
|
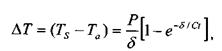
При использовании термистора в качестве датчика абсолютной температуры предполагается, что при прохождении через него электрического тока, его собственная температура не изменится, что означает, что он не внесет в систему значительных тепловых возмущений, способных повлиять на точность измерений.
В этом случае говорят, что термистор обладает «нулевой мощностью». Увеличение температуры термистора в установившемся режиме вследствие явления саморазогрева описывается уравнением:
(16.15)
где r — тепловое сопротивление между термистором и окружающей средой, V- приложенное постоянное напряжение, S — сопротивление термистора при измеряемой температуре, а N - рабочий цикл измерений (например, N= 0.1 означает, что постоянное напряжение подается на термистор только на время, равное 10% от полного времени измерений). При проведении измерений по постоянному току N=1. Из уравнения (16.15) видно, что для выполнения условий «нулевой мощности» необходимо, чтобы:
- термистор обладал высоким удельным сопротивлением,
- термистор и объект измерения имели хорошую тепловую связь друг с другом (что должно снизить значение r ),
- измерения проводились при небольшом постоянном напряжении, подаваемом в течение короткого интервала времени.
Далее будет показано, как эффект саморазогрева сказывается на величине сопротивления терморезистора, но пока будем считать, что он приводит к появлению лишь незначительных погрешностей.
При использовании термисторов в каких-либо измерительных системах необходимо знать их передаточные функции, которые являются аналитическими выражениями, связывающими величину сопротивления и температуру. Для описания передаточной функции термисторов были предложены несколько математических моделей. Следует отметить, что все математические модели являются только аппроксимациями, и, как правило, чем проще модель, тем ниже ее точность. С другой стороны, при использовании более сложных моделей значительно усложняется калибровка термисторов. Все существующие модели термисторов построены на экспериментально доказанном факте, что логарифм сопротивления термистора связан с его абсолютной температурой следующей полиноминальной зависимостью:
(16.16)
На этом выражении построены три модели, описываемые далее.
Простая модель
В относительно узком температурном диапазоне и при некоторой потере точности можно отбросить два последних члена уравнения (16.16):
(16.17)
где А — константа, а
- характеристическая температура материала (в Кельвинах). Если известна величина сопротивления термистора
при калибровочной температуре То, можно записать зависимость сопротивления от температуры в следующем виде:
(16.18)
Очевидное достоинство этой модели — необходимость проведения калибровки термистора только в одной точке. Однако здесь предполагается знание коэффициента βт. Если он неизвестен, приходится проводить вторую калибровку для нахождения его значения:
(16.19)
где То и So и Т1 и S1 — две пары температур и сопротивлений, полученных в двух калибровочных точках, находящихся на кривой, соответствующей уравнению (16.18). Считается, что значение
не зависит от температуры, но оно может меняться от изделия к изделию в пределах производственных допусков, которые обычно составляют ± 1 %. Температура термистора определяется по измеренному сопротивлению S при помощи следующего выражения:
(16.20)
Погрешность аппроксимации, представленной выражением (16.20), мала в окрестности температуры калибровки, но значительно увеличивается при расширении рабочего диапазона (рис. 16.7).
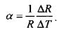
Коэффициент β отвечает за кривизну характеристики термистора, но не является параметром, напрямую соответствующим его чувствительности, которая определяется температурным коэффициентом а. Коэффициент а может быть найден при дифференцировании уравнения (16.18):
|
|
|
(16.21)
Из уравнения (16.21) следует, что чувствительность термистора зависит как от
так и от температуры. Термистор обладает лучшей чувствительностью на низких температурах, тогда как при увеличении температуры его чувствительность резко падает. Уравнение (16.21) также показывает, насколько меняется сопротивление Sпри изменении температуры на один градус. В термисторах с ОТК чувствительность а во всем температурном диапазоне меняется от -2% (в зоне высоких температур шкалы) до —8%/°С (в зоне низких температур шкалы), поэтому можно утверждать, что такие детекторы являются очень чувствительными устройствами, почти на порядок более чувствительными по сравнению с РДТ. Это особенно важно для применений, требующих высоких значений выходного сигнала в относительно узком температурном диапазоне. Примером может служить медицинский электронный термометр.
Модель Фрайдена
В 1998 году автор этой книги предложил следующее усовершенствование простой модели.Оно основывается на экспериментальном факте, что характеристическая температура
не является постоянной, а зависит от измеряемой температуры (рис. 16.6). В зависимости от фирмы-изготовителя и типа термистора эта функция может иметь как положительный наклон (как показано на рисунке), так и отрицательный. Идеальный случай, когда
совсем не зависит от температуры, на практике, фактически, не встречается.
Рис. 16.6. Зависимость коэффициента β от температуры
Из уравнений (16.16) и (16.17) следует, что характеристическая температура материала термистора может быть аппроксимирована следующим выражением:
(16.22)
где А и В являются константами. Оценка этого выражения показала, что во многих практических случаях третий и четвертый члены намного меньше первых двух, поэтому ими часто можно пренебречь. Тогда уравнение (16.22) принимает вид линейной функции:
|
|
|
(16.23)
Это предположение позволяет значительно улучшить универсальность простой модели. Для определения линейной зависимости
в любой точке необходимо знать значение
хотя бы при одной температуре
а также наклон прямой
Тогда уравнение (16.23) может быть записано в виде:
(16.24)
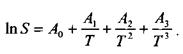
Для нахождения наклона γ можно воспользоваться выражением:
(16.25)
где
и
— два значения характеристической температуры материала, соответствующие двум температурам
(Отметим, что
и T определяются в Кельвинах. Если температура обозначается как t, используется шкала в Цельсиях). Для определения коэффициента у требуется проводить измерения в трех характерных точках, однако, нет необходимости определять его для каждого отдельного тер-мистора, поскольку он зависит только от материала резистора и технологического процесса изготовления, поэтому его можно считать более или менее постоянным для больших серий термисторов определенного типа. Таким образом, обычно достаточно найти один коэффициент γ для целой серии термисторов, и по нему определять характеристики каждого конкретного детектора.
Подставляя уравнение (16.23) в выражение (16.16), получим аппроксимационную формулу для термистора:
(16.26)
Решая уравнение (16.26) относительно сопротивления S, получим зависимость сопротивления термистора от температуры:
(16.27)
где So — сопротивление при калибровочной температуре То, а
- характеристическая температура, определенная по двум калибровочным температурам То и Т1 (см. уравнение (16.19)). Это уравнение подобно уравнению (16.18) простой модели, за исключением нового коэффициента
Даже несмотря на то, что коэффициент
находится по трем точкам (для серии детекторов), для каждого отдельного термистора необходимо проводить по два калибровочных измерения. Модель Фрайдена подходит для случаев, когда требуется проводить большое количество точных измерений. Достоинством этого метода также является его низкая стоимость. Отметим, что калибровочные температуры То и Т1 следует выбирать ближе к концам рабочего диапазона, а темпе- ратуру для определения
- в середине. В таблице 16.3 приведены уравнения для этой модели.

Рис. 16.7. Погрешности простой модели и модели Фрайдена для четырех термисторов, откалиброванных при двух температурах t0 и t1, для определения
Погрешности модели Стейнхарта-Харта слишком малы и поэтому не по казаны на этом рисунке
Модель Стейнхарта-Харта
Стейнхарт и Харт в 1968 году предложили модель термистора для океанографических исследований, работающего в диапазоне температур — З...ЗО°С, которая на самом деле справедлива и для гораздо более широкого температурного интервала. Их модель основана на уравнении (16.16), решенного относительно температуры:
(16.28)
Стейнхарт и Харт показали, что без ощутимой потери точности это выражение может быть записано в виде:
(16.29)
При корректном использовании уравнения (16.29) в диапазоне температур О...7О°С можно добиться точности порядка 0.001°. Для нахождения коэффициентов b необходимо провести калибровку термистора при трех температурах и решить систему из полученных трех уравнений (см. таблицу 16.3). Поскольку модель Стейнхарта-Харта обеспечивает очень высокую точность определения температуры, она положена в основу промышленного стандарта для калибровки прецизионных термисторов. Проведенные исследования показали, что погрешность этой модели даже в более широком температурном диапазоне не превышает 0.002°. Тем не менее, широкого практического применения эта модель не нашла, поскольку для ее использования необходимо проводить калибровку каждого термистора при трех и более температурах.
Выбор той или иной аппроксимационной модели диктуется уровнем требуемой точности и стоимостью. Величина стоимости напрямую зависит от количества необходимых точек калибровки. Процесс калибровки требует довольно больших временных затрат, этим и объясняется его высокая стоимость. Благодаря мощности современных микропроцессоров, сложность математических вычислений не играет решающей роли. Когда не требуется высокая точность измерений, а главным является их низкая стоимость, или когда измерения ведутся в узком температурном диапазоне (±5...10°С от калибровочной температуры), хорошо работает простая модель. Модель Фрайдена предпочтительнее в случаях, когда нужна высокая точность при относительно низкой стоимости. Соответственно модель Стейнхарта-Харта применяется для проведения прецизионных измерений, где стоимость не является решающим фактором (рис. 16.7).
При использовании простой модели необходимо знать значение 1т и сопротивление термистора при одной калибровочной температуре То. При работе с моделью Фрайдена плюс к вышеперечисленному требуется знать коэффициент γ, который определяется не для каждого конкретного термистора, а для целой серии таких элементов. В модели Стейнхарта-Харта для каждого термистора проводят три калибровки при трех разных температурах. В таблице 16.3 приведены уравнения для вычисления калибровочных коэффициентов и измеряемой температуры на основе полученных значений сопротивлений. Конечно, можно каждый раз решать все эти уравнения напрямую. Однако для большинства случаев разработаны специальные справочные таблицы. Для снижения размеров этих таблиц часто применяется кусочно-линейная аппроксимация.
Таблица 16.3. Термисторы с ОТК. Руководство по применению трех моделей.

Изготовление термисторов с отрицательным температурным коэффициентом

Рис. 16.8. Д ве разновидности бусинкового термистора со стеклянным покрытием
В зависимости от способа изготовления все термисторы с ОТК делятся на три основных группы. Первая группа — это термисторы бусинкового типа. Бусинки могут быть ничем непокрытыми, с защитным слоем из эпоксидной смолы (рис. 16.8) или размещены в металлическом корпусе. Выводы всех термисторов данного типа изготавливаются из платинового сплава, запеченного в керамику. В процессе изготовления маленькие порции смеси оксида металла и подходящего связующего наносятся на параллельные слегка натянутые проводники. После высыхания или частичного спекания вся лента бусинок снимается с опорной конструкции и помещается в печь для окончательного спекания. Во время такой температурной обработки оксид металла прочно скрепляется с платиновыми проводниками. После чего вся лента разрезается на отдельные бусинки, на которые наносится соответствующее покрытие.
Другой тип термисторов — это чип-термисторы с поверхностными контактами для крепления проводников. Обычно чипы изготавливаются методом пленочного литья, с последующей трафаретной печатью, напылением, покраской или вакуумной металлизацией поверхностных электродов. После чего чипы разрезаются для получения требуемых геометрических размеров. Если это необходимо, чипы могут быть заземлены.
Термисторы третьего типа состоят из слоя полупроводникового материала, нанесенного на соответствующую подложку из стекла, алюминия, кремния и т.д. Такие термисторы, в основном, используются в интегрированных датчиках и ИК тепловых детекторах.
Среди всех термисторов с металлизированными поверхностными контактами наихудшей стабильностью обладают чипы без покрытия. Термисторы с эпоксидным покрытием демонстрируют среднюю стабильность. Термисторы бусинкового типа могут работать при высоких температурах (до 550°С). Детекторы с металлизированным поверхностным контактом используются до 150°С. Бусин-ковые термисторы являются самыми быстродействующими из перечисленных детекторов, однако их стоимость намного выше, чем у чип-термисторов, и в дополнение к этому их номинальное значение трудно поддается регулировке. Подгонка номинального значения выполняется механической шлифовкой термистора при заданной температуре (обычно при 25°С) с целью изменения геометрических размеров для получения требуемого значения сопротивления.
При работе с термисторами, обладающими ОТК, необходимо учитывать все возможные источники ошибок. Одна из них — старение, которое для низкокачественных датчиков может составлять порядка 1%. На рис. 16.9 показано изменение величины сопротивления (в %) от срока службы для чип термисторов с эпоксидным покрытием и термисторов бусинкового типа в стеклянных корпусах.

Рис. 16.9. Долговременная стабильность термисторов.
Обеспечение защиты от окружающей среды и температурная подготовка термисторов являются надежными методами стабилизации характеристик детекторов. Для проведения температурной тренировки датчики помещаются в камеру с температурой +300°С, по крайней мере, на 700 часов. Для осуществления лучшей защиты термисторы могут быть размещены в корпусах из нержавеющей стали и залиты эпоксидной смолой.
Явление саморазогрева в термисторах с отрицательным температурным коэффициентом
Как упоминалось ранее, явление саморазогрева термистора может сказываться на его рабочих характеристиках. Термисторы относятся к датчикам активного типа, для работы которых требуется сигнал возбуждения. Этим сигналом, как правило, служит либо постоянный, либо переменный ток, протекающий через термистор, который приводит к выделению тепла, а, значит, и к разогреву детектора. Это повышение температуры датчика часто приводит к появлению погрешностей при измерении температуры объекта. Правда, в некоторых случаях явление саморазогрева используется для построения датчиков, реагирующих на изменения тепловых потоков, ИК излучений и других внешних воздействий. Рассмотрим процессы, проходящие в термисторах, при подаче на них электрического напряжения. На рис. 16.10А показана схема, состоящая из источника напряжения Е, термистора RT внутреннего сопротивления источника R. При включении источника питания (момент вкл на рис. 16.10Б) в соответствии с законом сохранения энергии вся тепловая энергия схемы (Н) должна равняться электрической мощности, вырабатываемой источником питания:
(16.30)
где VT — падение напряжения на термисторе.
Тепловая энергия состоит из двух составляющих: тепловых потерь (HL) в окружающую среду и тепловой энергии (Hs), поглощенной термистором. Поглощенная часть энергии накапливается в тепловой емкости С датчика. Тогда уравнение баланса мощности можно записать в следующем виде:
(16.31)

Рис.16.10. А — Ток, протекающий через термистор, вызывает его саморазогрев, Б — Температура термистора увеличивается в соответствии с тепловой постоянной времени— тепловые потери в
окружающую среду
.
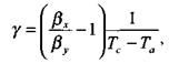
Тепловые потери термистора в окружающую среду пропорциональны разности температур
термистора Ts и окружающей среды
(16.32)
где δ - коэффициент рассеяния, равный отношению рассеиваемой мощности к градиенту температур (при известном значении температуры окружающей среды). Этот коэффициент зависит от конструкции датчика, длины и толщины проводов, материала термистора, опорных элементов, величины теплового излучения с поверхности термистора и относительного движения среды, в которую помещен термистор.
Скорость поглощения тепла термистором пропорциональна тепловой емкости детектора:
(16.33)
Именно это тепло приводит к повышению температуры термистора. Подставляя выражения (16.32) и (16.33) в уравнение (16.30), получим:
(16.34)
Это дифференциальное уравнение описывает тепловое поведение термистора. Найдем решение этого уравнения для двух условий. Первое условие заключается в том, что электрическая мощность, приложенная к датчику, является постоянной величиной (P=const). Тогда решение уравнения (16.34) имеет следующий вид:
(16.35)
где е — основание натурального логарифма. Из этого выражения видно, что температура датчика будет расти по экспоненциальному закону (рис. 16.10Б), характеризуемому тепловой постоянной времени
, где величина 1/δ =гг—тепловое сопротивление между датчиком и окружающей средой. На рис. 16.10Б показана экспоненциальная переходная характеристика.
Через достаточно большой интервал времени температура выйдет на стационарный режим, т.е. станет равной
а
При этом тепловые потери и приложенная электрическая мощность сравняются друг с другом:
(16.36)
Если на термистор, обладающий большим сопротивлением, подать низкое напряжение, ток, протекающий через него, будет также мал. Таким образом можно получить очень небольшой градиент температуры Δ T, что приведет к значительному уменьшению эффекта саморазогрева. Если саморазогревом термистора пренебречь, уравнение (16.34) можно переписать в виде:
(16.37)
Решение этого дифференциального уравнения описывается экспоненциальной функцией (уравнение (16.8)). Это значит, что выходной сигнал датчика отслеживает изменения окружающей температуры с некоторой постоянной времени
Поскольку эта постоянная времени зависит от связи термистора с окружающей средой, она, как правило, определяется для конкретных условий. Например,
= 1 с при температуре 25 °С в невозмущенном воздухе или
= 0.1 с при Т=25°С в хорошо перемешанной воде. Следует всегда помнить, что все вышеприведенные уравнения соответствуют упрощенной модели тепловых потоков. На самом деле, выходной сигнал термистора никогда не бывает строго экспоненциальным.
При разработке датчиков на основе термисторов всегда используется одна из его трех основных характеристик:
1. Зависимость сопротивления от температуры. На рис. 16.12 показан вид такой зависимости для термисторов с ОТК. В датчиках, реализованных на основе этой характеристики, эффект саморазогрева, практически, отсутствует. При этом необходимо выбирать термисторы с высоким номинальным сопротивлением, а конструкция детектора должна обеспечивать максимальную связь чувствительного элемента с объектом измерения. Данная характеристика используется, в основном, для построения детекторов температуры. Термометры, термостаты и тепловые прерыватели являются примерами применения этой зависимости.
2. Зависимость тока от времени (или сопротивления от времени). На рис. 16.10Б показан пример этой характеристики.
Зависимость напряжения от тока. Эта характеристика важна либо для детекторов, реализованных на основе явления саморазогрева, либо для датчиков, где этим эффектом пренебречь нельзя. Выражение (16.36) является уравнением баланса между приложенной электрической энергией и тепловыми потерями. При известной зависимости сопротивления от температуры и при незначительных изменениях δ (что справедливо для многих практических случаев), из уравнения (16.36) можно получить зависимость статического напряжения от тока. Эта характеристика обычно строится в логарифмических координатах по обоим осям. В таком графике линии, соответствующие постоянным сопротивлениям, имеют наклон +1, а линии постоянной мощности — наклон—1 (рис. 16.11).

Рис. 16.11. Зависимость напряжения от тока для термисторов с ОТК, работающих в спокойной воздушной среде при температуре 25 °С. Нелинейность характеристики объясняется эффектом саморазогрева.
При очень низких токах (левая сторона рис. 16.11) мощность рассеяния термистора мала, и характеристика для каждого значения температуры является касательной к линии постоянного сопротивления, т.е. в этой области термистор ведет себя как обычный резистор, и напряжение VТ пропорционально току i.
При увеличении тока эффект саморазогрева термистора усиливается, что ведет к уменьшению его сопротивления. Поскольку величина сопротивления перестает быть постоянной, характеристика VT(i) начинает отклоняться т прямой линии. Наклон этой зависимости (dVT/di), соответствующий величине сопротивления, снижается при увеличении тока. Возрастание тока ведет к падению сопротивления, которое, в свою очередь, вызывает увеличение тока. В некоторой точке сопротивление термистора становится равным нулю. Эта точка характеризуется максимальным значением напряжения
и током
Дальнейшее увеличение тока приводит к продолжению уменьшения наклона характеристики. Это означает, что величина сопротивления становится отрицательной (правая сторона рис. 16.11). Если ток продолжить увеличивать ток дальше, начинают играть роль сопротивления соединительных проводов, поэтому никогда нельзя допускать работу термистора в таких режимах. В документации на серийно выпускаемые термисторы обычно указывается максимальное значение допустимой мощности.
Из уравнения (16.36) видно, что термисторы с сильным саморазогревом могут использоваться для детектирования изменений
(в составе вакуумных манометров (датчиках Пирани), анемометрах, расходомерах),
(в измерителях мощности СВЧ излучений) или VT(в электрических схемах автоматического управления коэффициентом усиления, регуляторах и ограничителях напряжения) и т.д.
Термисторы с положительным температурным коэффициентом
Все металлы относятся к материалам с положительным температурным коэффициентом (ПТК). Из соответствующей таблицы Приложения видно, что все они обладают низкими значениями температурных коэффициентов сопротивления (ТКС). РДТ, описанные ранее, также имеют небольшой ПТК. В отличие от них многие керамические материалы в определенном температурном диапазоне обладают довольно значительными ПТК. Термисторы с ПТК обычно изготавливаются на базе поликристаллических керамических материалов, основные компоненты которых (титанат бария или твердые растворы титаната бария и стронция), обладающие высоким удельным сопротивлением, легируются дополнительными примесями для придания им свойств полупроводников. При температурах, превышающих точку Кюри композиционных материалов, их ферроэлектрические свойства меняются очень быстро, что приводит к значительному увеличению сопротивления, иногда на несколько порядков. На рис. 16.12 показаны передаточные характеристики для трех типов температурных детекторов: с ОТК, ПТК и РДТ. Как видно из рисунка, для термисторов с ПТК очень сложно подобрать математическую аппроксимацию, поэтому для них в документации обычно приводятся следующие характеристики:
1. Сопротивление при нулевой приложенной мощности, R25. При этом значении влияние эффекта саморазогрева незначительно.
2. Минимальное сопротивление Rm, при котором термистор меняет знак своего температурного коэффициента (точка т)
3. Температура перехода Тt, начиная с которой начинается быстрое изменение сопротивления. Она приблизительно совпадает с точкой Кюри материала. Значения температуры перехода обычно лежат в интервале — ЗО...+16О°С (Keystone Carbon Co.)
4. ТКС, определяемый как:
(16.38)
Этот коэффициент сильно зависит от температуры и часто определяется в точке х (т.е. там, где он обладает максимальным значением). Он может достигать значений 2/°С, что означает 200% изменение сопротивления на °С.
5. Максимальное напряжение Ет, соответствующее предельно допустимому значению, выдерживаемому термистором.
6. Тепловые характеристики: теплоемкость, коэффициент рассеяния δ(определенный для заданных условий связи детектора с окружающей средой) и тепловая постоянная времени (характеризующая быстродействие термистора приопределенных условиях)

Рис. 16.12. Передаточные функции для термисторов с ОТК, ПТК и РДТ.
Следует отметить, что для термисторов с ПТК важными факторами являются: температура окружающей среды и эффект саморазогрева. Любой из них влияет на положение рабочей точки термистора.
На рис. 16.13 показаны вольтамперные характеристики термистора с ПТК при разных температурах окружающей среды, по которым можно оценить его температурную чувствительность. В соответствии с законом Ома обычный резистор с близким к нулю ТКС обладает линейной вольтамперной характеристикой. При ОТК коэффициент кривизны положительный, а при ПТК — отрицательный. При подключении термисторов с ОТК к идеальному источнику напряжения (обладающему практически нулевым выходным сопротивлением и способностью вырабатывать любой ток без изменения величины напряжения) явление саморазогрева, возникающее из-за рассеяния Джоулева тепла, приводит к уменьшению сопротивления, что, в свою очередь, вызывает увеличение тока и большему нагреву детектора. Если термистор с ОТК имеет плохой теплоотвод, может произойти его перегрев и даже разрушение.
В отличие от термисторов с ОТК, детекторы с ПТК при подключении к идеальным источникам напряжения ведут себя как саморегулирующиеся устройства. Например, нить накаливания раскаленной лампы не перегорает из-за того, что увеличение ее температуры ведет к росту сопротивления, ограничивающего ток. Эффект саморегулирования значителен в термисторах с ПТК. Из рис. 16.13 видно, что в относительно узком температурном диапазоне, термистор с ПТК обладает отрицательным сопротивлением, т.е.
(16.39)
В этой зоне устройства обладают внутренней отрицательной обратной связью, т.е. работают саморегулирующимися термостатами. При этом любой рост напряжения на термисторе приводит к выделению тепла, которое, в свою очередь, вызывает увеличение сопротивления и уменьшению тепловых потерь, в результате чего возникает динамическое равновесие, позволяющее удерживать температуру устройства на постоянном уровне То (рис. 16.12). Эта температура соответствует точке х, в которой касательная к кривой имеет максимальный наклон.

Рис 16.13. Вольтамперная характеристика детектора с ПТК
Следует отметить, что термисторы с ПТК обладают максимальной эффективностью при больших значениях Т0 (около 100°С), а при меньших температурах их эффективность (наклон характеристики R(T) в точке х) резко падает. По своей физической природе термисторы с ПТК предпочтительнее использовать при температурах, значительно превышающих температуру окружающей среды.
Приведем четыре примера применения термисторов с ПТК:
1. В устройствах защиты электронных схем термисторы с ПТК могут играть роль неразрушаемых предохранителей, реагирующих на токи, значения которых превышают допустимые уровни. На рис. 16.14А показан термистор с ПТК, включенный последовательно с источником напряжения Е, подающего на нагрузку ток i. При комнатной температуре термистор обладает
очень низким сопротивлением (порядка 10... 140 Ом). При токе i падение
напряжения на нагрузке составляет
а на термисторе - Vx. Считаем, что
Мощность, рассеиваемая на термисторе: P=Vx i, отдается в окружающую среду. При этом температура термистора возрастает, но очень на небольшую величину. Однако при значительном увеличении окружающей температуры или сильном изменении тока нагрузки происходит резкий рост температуры термистора до величины Тτ, по достижении которой его сопротивление начинает расти, что предотвращает дальнейшее увеличение тока. При коротком замыкании в нагрузке
V = Е, а ток i падает до минимального значения. Это значение будет сохраняться до тех пор, пока сопротивление нагрузки не придет в норму, после чего, термистор восстановит свои исходные характеристики. Однако при этом необходимо выполнение условия Е<0.9Етах, иначе может произойти разрушение термистора.
2. В миниатюрных термостатах с саморазогревом (рис. 16.14Б), используемых в микроэлектронике, биомедицине, химических исследованиях и т.д, также используются термисторы с ПТК с соответственно подобранной температурой перехода. Термостат состоит из кюветы, теплоизолированной от окружающей среды и связанной с термистором. Для устранения сухого контакта между термистором и кюветой делают слой из специальной смазки.
Выводы термистора подключаются к источнику напряжения, напряжение
которого можно оценить при помощи выражения:
(16.40)
|
где δ - коэффициент рассеяния, зависящий от теплоизоляции термистора от окружающей среды, аTa- температура окружающей среды. Рабочая точка термостата определяется физическими свойствами керамического материала (точкой Кюри). Благодаря внутренней тепловой обратной связи, устройство может работать в сравнительно широком диапазоне напряжений и окружающих температур. Естественно, что окружающая температура должна быть всегда меньше
3. термисторы с ПТК из-за большой длительности переходных процессов, определяемых временем между подачей напряжения и переходом устройства в рабочее состояние, часто требует подключения схем задержки.
4. Расходомеры и детекторы уровня жидких сред, работающие на принципе детектирования теплового рассеяния, также часто реализуются на основе термисторов с ПТК.

Рис. 16.14. Применение термисторов с ПТК: А — в схемах ограничения тока, Б — в микротермостатах






