Дополнительным измерителем уровня концентрации в отрасли может служить индекс энтропии, который показывает степень неупорядоченности, хаотичности рынка.
Показывает среднюю долю фирм, действующих на рынке, взвешенную по натуральному логарифму обратной ей величины:
.
Индекс энтропии представляет собой показатель, обратный концентрации: чем выше показатель энтропии, тем ниже концентрация продавцов на рынке, и наоборот, чем выше показатель энтропии, тем ниже возможности продавцов влиять на рыночную цену. Для сравнения показателей энтропии на разных рынках часто используют относительный показатель энтропии:

Данный показатель принимает значения от нуля до единицы и лучше интерпретируется при осуществлении анализа уровня конкуренции.
Индекс Линда.
В странах ЕЭС для анализа рыночных структур широко используется индекс, предложенный сотрудником Комиссии ЕЭС в Брюсселе Ремо Линда. Этот индекс, как и индекс концентрации, рассчитывается лишь для нескольких (m) крупнейших фирм и, следовательно, также не учитывает ситуации на "окраине" рынка. Однако в отличие от индекса концентрации он ориентирован на учет различий в "ядре" рынка. Для двух крупнейших фирм он равен процентному отношению их рыночных долей:
|
|
|

Если k1 = 50%, k2= 25%, то IL= 200%.
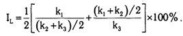
Для трех крупнейших фирм индекс Линда определяется по формуле:

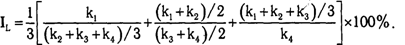
Для четырех фирм:

Однако самым сложным при анализе рыночных структур является не выбор индекса, а определение границ рынка в пространстве товаров. Следует ли ограничить рынок лишь определенной маркой товара, включить ли в него и другие его марки, или расширить границы рынка, включив в него все взаимозаменяемые товары, - вот вопросы, которые приходится решать антимонопольным службам всех стран.
Обычно рекомендуется начинать с изучения рынка данного товара, затем принять во внимание наличие товаров-заменителей, затем расширить анализ, включив в него заменители этих заменителей, и т. д., до тех пор, пока не появится определенный разрыв в отношениях заменяемости. Этот разрыв и образует границы рынка.
Концентрация на отраслевом рынке достаточно часто оценивается с позиции неравномерности распределения единиц совокупности по уровню признака.






