Пример краевой задачи для уравнения Гельмгольца в двумерном случае
Смешанная краевая задача для уравнения Гельмгольца
Аппроксимация на решениях уравнения
Изменение расположения узлов сетки
План
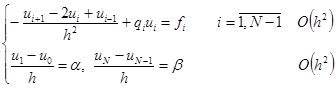
До настоящего момента рассматривалась равномерная сетка, а концы сегмента считались узлами. Теперь изменим результат дискретизации области: равномерность сохраним, но концы будут находиться посредине между узлами (рис.1).

Рис.1.
Уравнения сохраняются, а порядок аппроксимации граничных условий увеличивается на 1:

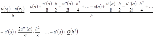
Действительно:







