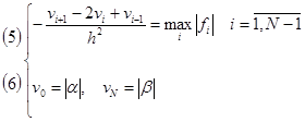
Этап 5. Сходимость.
Этап 4. Непрерывная зависимость решения дискретной задачи.
Этап 3. Существование и единственность решения дискретной задачи.
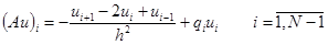
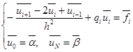
Займёмся 3 этапом МКР.
Определение. Матрица
обладает свойством монотонности, если из того, что
. Неравенства понимаются в покомпонентном смысле.
Достаточное условие монотонности матрицы. Пусть для
выполняются:
1)
для
;
2)
;
3)
(преобладание главной диагонали), тогда
обладает свойством монотонности.
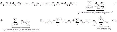
Доказательство. Допустим, что это не так, т.е.
, но при этом существует такое
, для которого
. Таких
может быть несколько. Пусть
такое, что:

Выпишем
:

Пришли к противоречию, значит наше допущение ложно.
Лемма 1. Если матрица обладает свойством монотонности, то она невырождена.
Пусть в нашем примере
. Тогда выполнены все условия:
1)
;
2)
;
3) 

Значит,
- монотонна.ю т.е. и невырождена, следовательно система (3), (4) однозначно резрешима. Этап 3 проведен.
Этап 4.
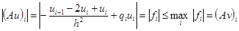
Лемма 2. Пусть
обладает свойством монотонности и
. Тогда
.
Доказательство. Вектор
.
. (100)
Левая часть (100):
. (110)
Из правой части (100):
(120)
Объединяя заключительные части (110) и (120), получим:
.
Для док-ва этапа 4 построим вектор
, для которого рассмотрим задачу:
,
Полученную после дискретизации непрерывной задачи
.
Непрерывная задача решается легко. Решением ее очевидно будет многочлен 2-ой степени.
Будем искать
в виде многочлена второй степени относительно
:
.



- длина всего промежутка,
.

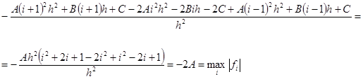
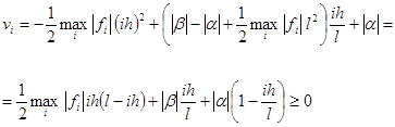
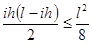
Тогда:


(
- квадратичная парабол.
,
)
.
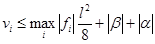
Нам надо установить, что: 


(согласно (5)), т.е. то, что нам нужно. Значит, по лемме 2 
(10)
это априорная оценка решения.
Эта оценка даёт непрерывную зависимость от входных данных (правой части и граничных условий) для дискретной задачи.
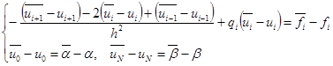
Действительно
(11)
(т.к. это уже не
, мы перебрасываем сюда
и
).
(11) - это исходная задача.
Рассмотрим возмущенную задачу:
здесь мы изменили 
Матричная запись: (12) 
(11)-(12) 

Матрица в (13) сохранилась.
Для решения (13) используем оценку (10):


Если мало менять входные данные, то мало меняется и решение; получаем непрерывную зависимость решения от входных данных. Т.е. мы получили корректность дискретной задачи.
5 этап. У дифференциальной задачи решением будет некоторая кривая (рис.3).

Рис. 3.
Мы ищем приближенное решение – вектор (набор чисел в узлах сетки). Эти точки вообще не лежат на кривой. Мы должны сравнить
- решение дифференциальной задачи и вектор
.
Для того, чтобы разность
приобрела какой-то смысл, можно провести дискретизацию решения, т.е. вычислить некоторую функцию
.
Теперь у нас два вектора. Если
, то решение разностной задачи сходится к решению дифференциальной.
Можно понимать сходимость и по-другому: доопределить (восполнить) вектор
до функции, заданной на
(например, построить сплайн).
Обозначим оператор восполнения через
.
- функция, определенная на
. Если
, то решение разностной задачи сходится к решению дифференциальной задачи.
Проведем дискретизацию решения дифференциальной задачи:
.
Вычислим:

Правая часть получила возмущение порядка
,
- не изменились.
Рассмотрим 2 задачи:
- разностная задача,
- вектор решения разностной задачи.

В силу оценки (10)
.
Т.е. мы доказали:
Теорема. Решение разностной задачи сходится к решению дифференциальной в смысле
, причем скорость сходимости равна
.