Дискретизация области соответствует рис.2 (равномерная сетка, концы сегмента являются узлами).

Рис.2.
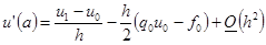
Как было получено ранее

или
.
Если удастся убрать слагаемое
, то получим порядок аппроксимации
.

(если предположить, что
- решение уравнения в т.
).
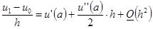
Тогда

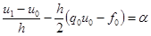
Тогда первое граничное условие:
.
Это два хороших способа. Матрица практически сохраняет свои свойства. Существуют еще способы повышеня порядка аппроксимации граничных условий:
1) Использование большего количества узлов для аппроксимации граничных условий. Например, вместо 2-х узлов взять 3 или 4. Но при этом портится матрица системы.
2) Использование неравномерной сетки. В окрестности граничной точки мы сгущаем сетку. Это не очень удобный способ.






