Задача Неймана
Сохраним уравнение
, но вместо условий Дирихле возьмем условия Неймана:
. Задача

называется задачей Неймана для уравнения Гельмгольца.
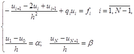
Дискретизации здесь требует не только уравнение, но и граничные условия, для которых выберем простейший способ аппроксимации:

уравнений и
неизвестных.
Матрица СЛАУ и вектор правой части соответственно имеют вид:

Матрица сохраняет трёхдиагональную структуру.
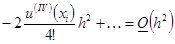
Рассмотрим подробнее уравнение СЛАУ:

Тут
и
, т.е. уравнение имеет порядок аппроксимации
.

- граничные условия имеют порядок аппроксимации
.






