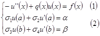
Смешанная краевая задача для уравнения Гельмгольца
Смешанная краевая задача для уравнения Гельмгольца имеет вид:

. Если
- то имеем задачу Дирихле; если
- задачу Неймана.
Дискретизация области представлена на рис.2.
При дискретизации задачи аппроксимацию граничных условий можно записать как порядка
, так и
.
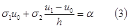
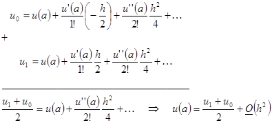
Запишем аппроксимацию граничных условий порядка
:

- здесь погрешность аппроксимации
.
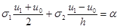
Теперь запишем аппроксимацию порядка
, предполагая, что дискретизация области проведена так, как показано на рис.1:
,

- аппроксимация порядка
.
Матрица здесь будет также трёхдиагональной.
Рассмотрим основные краевые задачи для уравнения Гельмгольца в двумерном случае. Начнем с задачи Дирихле (рис.3).


где
- фактически функция одной переменной, т.к. на 
и
связаны между собой.
- ограниченная область,
- кусочно-гладкая кривая – граница области,
- входные данные.
1) Дискретизация области.
Будем строить двумерную сетку. Проводим систему прямых, параллельных
и
на одинаковом расстоянии друг от друга.

Точки пересечения этих линий – узлы сетки. Каждому узлу ставятся в соответствие координаты
, т.е. ему соответствуют индексы
. Некоторые узлы оказались внутри области, некоторые – вне области, некоторые на границе. Обозначим
.
Построим дискретную область
(рис.4). Для каждого узла
определим соседей
. Такое определение соседей связано с уравнением. Узел
считается принадлежащим дискретной области
, если сам он и все его соседи
. Отметим узлы, принадлежащие
синим цветом. Построим
.
, если сам узел
, то хотя бы один из его соседей
(эти узлы красного цвета).
Возьмем для примера
в виде прямоугольника (рис.5).

Здесь
.
2) Дискретизация задачи.
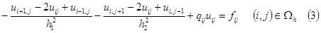
В каждом узле области
заменяем производные, входящие в (1), разностными отношениями по формулам числового дифференцирования. Обозначим
, тогда после замены:

Такая аппроксимация содержит 5 точек. Теперь понятно, почему
определялась именно так. В (3) столько уравнений, сколько точек в
. В случае прямоугольника можно более конкретно записать:
.
Все остальные этапы метода конечных разностей аналогичны одномерной задаче.