Виды и типы гребных установок
ТЕМА 1. ОБЩИЕ СВЕДЕНИЯ И ПОНЯТИЯ О ГРЕБНЫХ ЭЛЕКТРИЧЕСКИХ УСТАНОВКАХ
Судовые энергетические установки состоят из источника энергии, расположенного на судне, механизма передачи и механического движителя, преобразующего механическую энергию вращения в энергию поступательного движения судна.
Источники энергии на судах – в основном тепловые двигатели – дизели и паровые или газовые турбины. В них энергия топлива или тепловая энергия преобразуется в механическую.
Передача энергии от тепловых двигателей к судовым движителям может быть механической, гидравлической или электрической.
Установки с электрической передачей энергии к гребным винтам называются гребными электрическими установками – ГЭУ.
Надежными и экономичными гребными установками являются установки, которые включают тихоходные (низкооборотные) дизели 1, (рис.1.1) соединяемые непосредственно с гребными валами, на которых находятся гребные винты. Сила упора, развиваемая гребным винтом 3, передается корпусу судна через упорный подшипник 2.
|
|
|

Рис.1.1. Дизельная гребная установка
На судах с энергоустановками большой мощности и на быстроходных пассажирских лайнерах гребные винты 3 приводятся во вращение паровыми турбинами 1 с зубчатыми редукторами 4 (рис.1.2). Их называют турбозубчатыми агрегатами (ТЗА).

Рис.1.2. Гребная установка с паровой турбиной
На судах с атомными энергетическими установками тепловая энергия из атомных реакторов, преобразуется в механическую энергию также при помощи тепловых двигателей – паровых или газовых турбин. Атомные энергетические силовые установки (АЭСУ) значительно сложнее других установок, имеют высокую степень автоматизации, требуют большего числа квалифицированного обслуживающего персонала. Применение АЭСУ оправданно для крупнотоннажных танкеров и ледоколов, т.к. при этом увеличивается полезный объем, автономность плавания и сокращаются простои, необходимые для пополнения топливом.
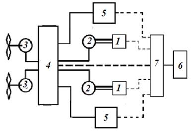
Гребные электрические установки (ГЭУ) состоят из тепловых двигателей 1 (рис.1.3), которые работают на генераторы 2, постоянного или переменного тока 2, электроэнергия генераторов подается на гребные электродвигатели 3, через щит управления 4.

Рис.1.3. Схема гребной электрической установки
Гребные электродвигатели соединены с движителями (чаще всего с гребными винтами).
Также в схеме ГЭУ имеется система возбуждения 5. Пост управления ГЭУ 6 предназначен для управления схемой ГЭУ через системы ручного или автоматизированного управления 7.
ГЭУ позволяют уменьшить шумы, позволяют часто менять скорость и направление движения, а энергетическая установка может использоваться также и для питания других судовых механизмов.
|
|
|
1.3. Требования к ГЭУ. Достоинства и недостатки ГЭУ.
ГЭУ, как и все судовое оборудование должны обладать высокой надёжностью и безотказностью, а также иметь простое устройство и быть безопасными для обслуживания. ГЭУ не должны полностью выходить из строя и вызывать остановку судна в случае повреждения одного теплового двигателя, генератора, электродвигателя или системы управления ими.
Достоинства ГЭУ по сравнению с другими видами передачи:
- Для ГЭУ используются тепловые двигатели с высокой частотой вращения, что уменьшает массу.
- Отсутствие непосредственного соединения вала теплового двигателя с гребным валом позволяет оптимизировать режим работы и размеры судового движителя и уменьшить длину соединительных валов.
- Есть возможность переключения генераторов и гребных электродвигателей (ГЭД) в аварийных ситуациях для сохранения хода судна.
- Простота управления по сравнению с другими видами передачи;
- Высокая экономичность на малом и среднем ходе;
- В дизель - электрических ГЭУ можно применять агрегатный метод ремонта (каждый узел ремонтируют свои специалисты одновременно).
- Применения ГЭУ устраняет передачу вибрации гребного винта и ударов тепловым двигателям
Наряду с достоинствами ГЭУ имеют и недостатки:
1.- При электрической передачи в генераторах и ГЭД появляются дополнительные потери, снижающие к.п.д.- 5-8%
2.- Применение ГЭУ без автоматического управления требует увеличения обслуживающего персонала.
3.- ГЭУ имеют повышенные эксплуатационные расходы, но это часто компенсируется увеличением полезного груза.