Для описания сигналов используют математические модели. В простейшем случае значения сигналов и аргументов являются скалярными величинами. В некоторых случаях для их описания необходимо использовать комплексные или векторные (например, цветные изображения) функции. Кроме того, различают детерминистское и статистическое описания сигналов. Под детерминистским описанием понимается, что в каждой точке, на которой определен сигнал, ему соответствует определенное значение. Сигнал – зависимость его мгновенного значения
от времени
(рис.3). Сигнал
в плоскости изображения трактуется как функция яркости
в координатах
поля изображения (рис.4).

Рис.2. Обработка изображений в пространственной и пространственно-частотной областях.

Рис.3. Зависимость мгновенного Рис.4. Сигнал
в
значения сигнала
от времени
. плоскости изображения.
Сигнал отображается как точка или вектор в некоем функциональном пространстве, которое называется сигнальным. Термин пространство применяется для того, чтобы придать множеству сигналов некий геометрический смысл. Пространство называется метрическим, если между элементами пространства
определено расстояние.
Существуют три важных требования к метрике:
(1)
Смысл первых двух требований очевиден, третье является неравенством треугольника. Соотношения справедливы для любых
.
Важнейшей метрикой в теории сигналов является эвклидова метрика. Причины этого состоят в следующем:
1) она имеет определенный физический смысл, как для непрерывных, так и для дискретных сигналов. Например, расстояние
для дискретных и непрерывных сигналов (среднеквадратическая метрика) выражается, соответственно, как:
; (2)
. (3)
Для размерности
она соответствует метрике реального физического пространства.
2) эвклидова метрика эффективно используется в задачах, связанных с нахождением разности между двумя сигналами, возникающими в результате действия помех или неточности измерений.
В дальнейшем в качестве сигнального пространства будем использовать линейное пространство (называемое также векторным). Любой вектор может быть представлен линейной комбинацией других векторов:
. (4)
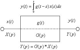
В процессе изучения будем исследовать ориентированную на решение прикладных задач математическую модель с несколькими входами и выходами, служащую, в частности, для реализации определенных процессов или для передачи сигналов от входов к выходам. Связь между сигналами на входах (
) и выходах (
) описывается с помощью характеристик системы, определяемых во временной области (
) или области изображений (
) соответственно (рис.5).

Рис.5. Пример системы.






